Open Access

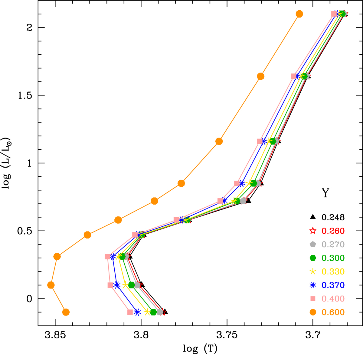
Fig. 1.

image

Hertzsprung-Russell diagram with the isochrones of Chantereau et al. (2015). Different symbols and colors stand for different initial composition, especially different helium mass fraction. Symbols correspond to the points for which atmosphere models have been calculated.

Current usage metrics show cumulative count of Article Views (full-text article views including HTML views, PDF and ePub downloads, according to the available data) and Abstracts Views on Vision4Press platform.

Data correspond to usage on the plateform after 2015. The current usage metrics is available 48-96 hours after online publication and is updated daily on week days.

Initial download of the metrics may take a while.