Free Access

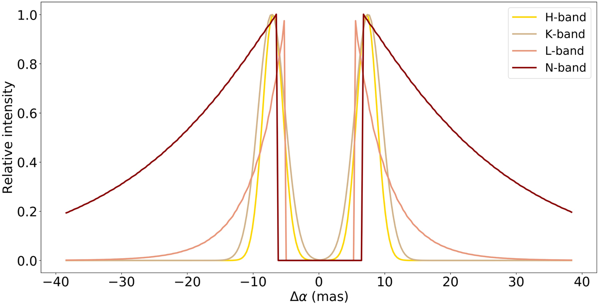
Fig. C.3.

image

Radial cuts through the centre of the images of the best-fitting geometric models of Fig. 1 showing the profiles, the inner holes, and the extent of the emission of the individual bands. The best-fitting model for the H- and K-bands is a Gaussian ring model. The best-fitting model of the L- and N-bands is the flat disc model which has an inner hole of Rin.

Current usage metrics show cumulative count of Article Views (full-text article views including HTML views, PDF and ePub downloads, according to the available data) and Abstracts Views on Vision4Press platform.

Data correspond to usage on the plateform after 2015. The current usage metrics is available 48-96 hours after online publication and is updated daily on week days.

Initial download of the metrics may take a while.