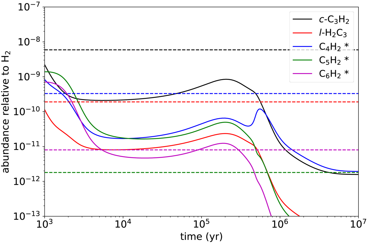
Fig. 5.
 
      Calculated fractional abundances of various hydrocarbons as a function of time. The asterisk in the legend means that the chemical model does not distinguish between different isomers. The abundances observed in TMC-1 for c-C3H2 (Cernicharo et al. 2021a) and l-H2Cn with n = 3−6 (this work) are indicated by dashed horizontal lines.
Current usage metrics show cumulative count of Article Views (full-text article views including HTML views, PDF and ePub downloads, according to the available data) and Abstracts Views on Vision4Press platform.
Data correspond to usage on the plateform after 2015. The current usage metrics is available 48-96 hours after online publication and is updated daily on week days.
Initial download of the metrics may take a while.
