Free Access

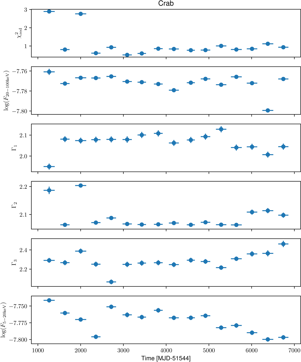
Fig. 9.

image

Best-fit spectral parameters with uncertainty intervals at the 68% confidence level on a single parameter and the reduced χ2 fit statistics of the Crab pulsar and nebula ISGRI + JEM-X1 spectra averaged on a year-by-year basis; the first point refers to 2003 and the last point to 2018. The data extend from 3.5 to 20 keV for JEM-X and 20–300 keV for ISGRI. The model is a broken power law with break energies fixed at 20 and 100 keV; Γ1−3 is the spectral index at increasing energies. We allowed the spectra to assume different normalisations through the flux parameter that we report for 5–20 keV (JEM-X1) and 20–100 keV (ISGRI). The resulting number of degrees of freedom is 55 before 2016 and 112 after 2016.

Current usage metrics show cumulative count of Article Views (full-text article views including HTML views, PDF and ePub downloads, according to the available data) and Abstracts Views on Vision4Press platform.

Data correspond to usage on the plateform after 2015. The current usage metrics is available 48-96 hours after online publication and is updated daily on week days.

Initial download of the metrics may take a while.