Free Access

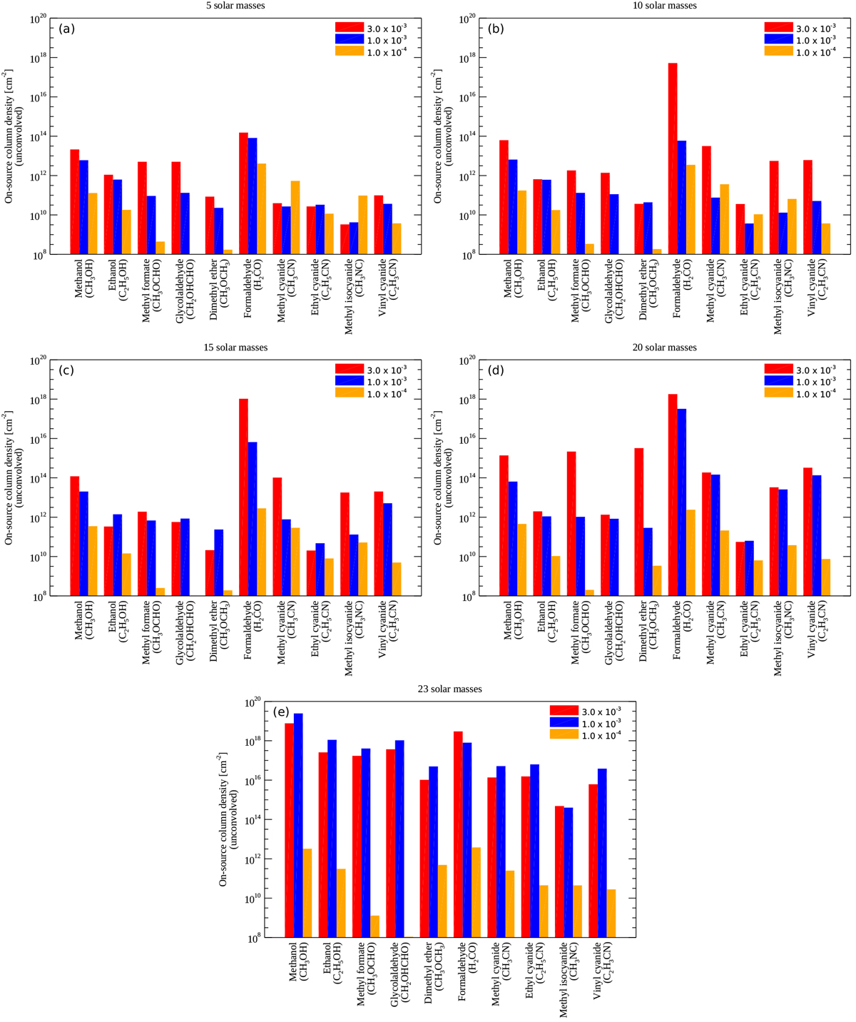
Fig. 8

image

Unconvolved on-source column densities for select COMs. The red bars illustrate column densities for the 3.0 × 10−3 M yr−1 model, the blue bars illustrate column densities for the 1.0 × 10−3 M yr−1 model, and the orange bars illustrate column densities for the 1.0 × 10−4 M yr−1 model. Panel a corresponds to stage-2 simulation times for which each model has a mass of 5 M, panel b corresponds to times for which each model has a mass of 10 M, panel c corresponds to times for which each model has a mass of 15 M, panel d corresponds to times for which each model has a mass of 20 M, and panel e corresponds to times for which each model has a mass of 23 M.

Current usage metrics show cumulative count of Article Views (full-text article views including HTML views, PDF and ePub downloads, according to the available data) and Abstracts Views on Vision4Press platform.

Data correspond to usage on the plateform after 2015. The current usage metrics is available 48-96 hours after online publication and is updated daily on week days.

Initial download of the metrics may take a while.