Free Access

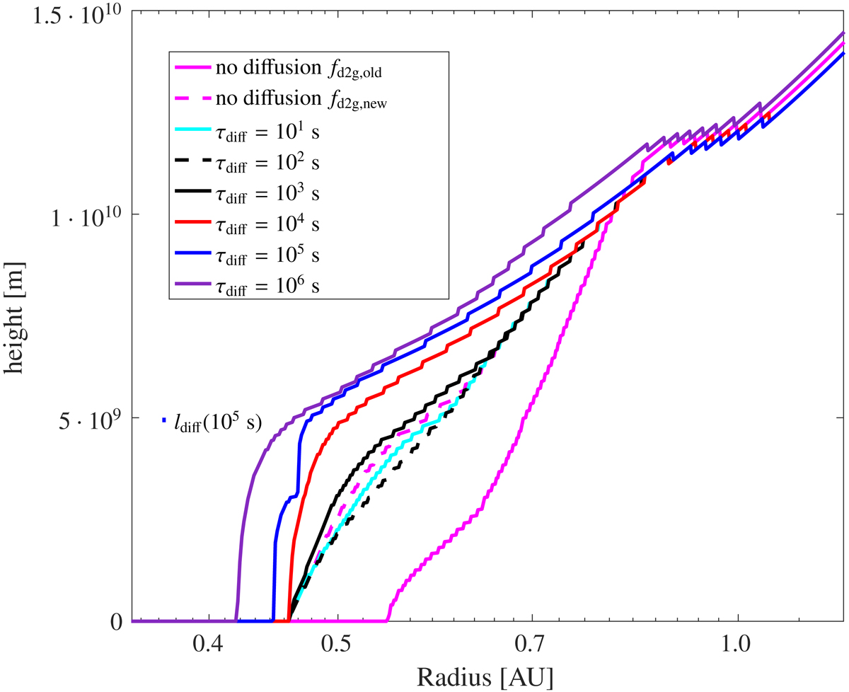
Fig. 3.

image

Comparison of eight radial disk height profiles on different diffusion timescales. Depicted is the height vertically above the midplane where the optical depth measured vertically toward the midplane from the box boundary reaches unity. The two magenta lines are cases with no dust diffusion (i.e., τdiff = 0) for the old (solid lines) and new (dashed lines) versions of fd2g as described in Sect. 2.1. The six other cases cover the range of diffusion times from 10 s to 106 s. The small blue bar to the left represents one diffusion length in the vertical direction for τdiff = 105 s. It is significantly smaller than the change in shape of the corresponding blue profile.

Current usage metrics show cumulative count of Article Views (full-text article views including HTML views, PDF and ePub downloads, according to the available data) and Abstracts Views on Vision4Press platform.

Data correspond to usage on the plateform after 2015. The current usage metrics is available 48-96 hours after online publication and is updated daily on week days.

Initial download of the metrics may take a while.