Open Access

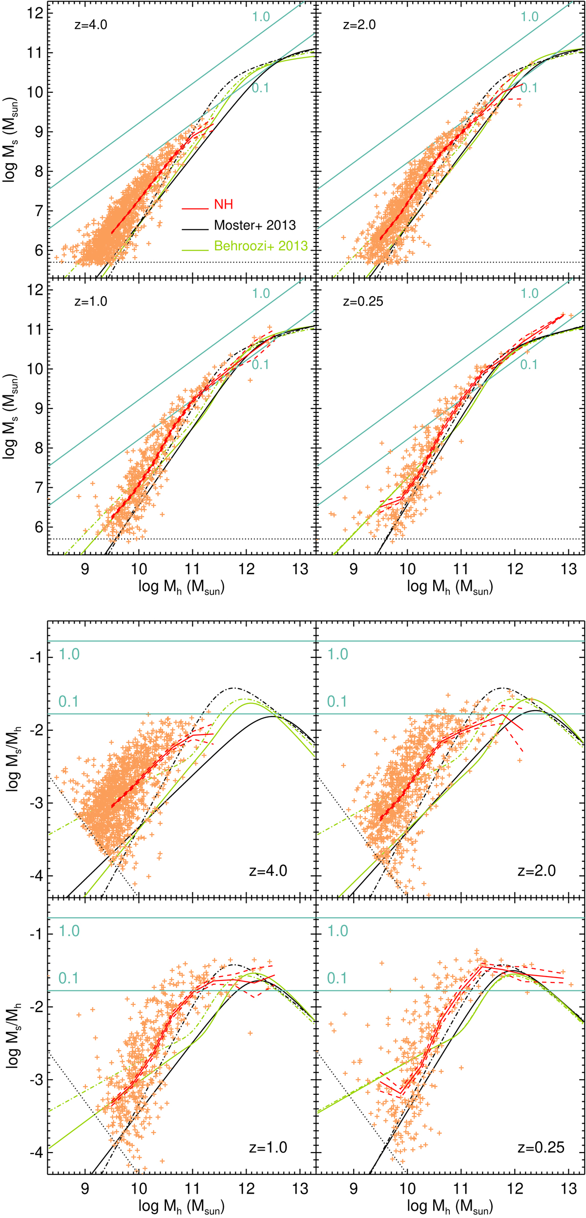
Fig. 11.

image

Stellar-to-halo mass relation (top) and baryon conversion efficiency Ms/Mh at different redshifts (as indicated in the panels). The solid red lines represent the average with their error of the mean (dashed) with individual points as plus symbols. The solid black line indicates the semi-empirical relation from Moster et al. (2013) and the green line from Behroozi et al. (2013) at the indicated redshift and dot-dashed lines the respective relations at z = 0. The cyan lines stand for the constant star formation conversion efficiencies. The dotted lines correspond to the minimum stellar mass detected by the galaxy finder. The simulated relation between central stellar mass and halo mass is in fair qualitative agreement with the semi-empirical relations, where the increase in the baryon conversion efficiency with mass up to the peak at Milky Way halo mass is captured; however this efficiency is significantly overestimated below that peak.

Current usage metrics show cumulative count of Article Views (full-text article views including HTML views, PDF and ePub downloads, according to the available data) and Abstracts Views on Vision4Press platform.

Data correspond to usage on the plateform after 2015. The current usage metrics is available 48-96 hours after online publication and is updated daily on week days.

Initial download of the metrics may take a while.