Open Access

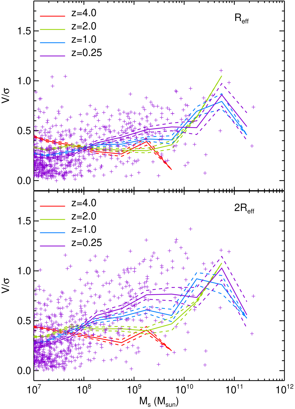
Fig. 15.

image

Ratio of stellar rotation over dispersion as a function of galaxy stellar mass for different redshifts (colours) as indicated in the panels. The kinematics are measured within Reff (top) or 2Reff (bottom). The solid lines indicate the average and the dashed lines are the error around the mean, with individual points shown at z = 0.25 only (purple plus signs) to appreciate the scatter of the distribution. Galaxies show an increase support of stellar rotation over dispersion with time and galaxy mass (except for z = 4) with stars outside Reff having more rotation than inside.

Current usage metrics show cumulative count of Article Views (full-text article views including HTML views, PDF and ePub downloads, according to the available data) and Abstracts Views on Vision4Press platform.

Data correspond to usage on the plateform after 2015. The current usage metrics is available 48-96 hours after online publication and is updated daily on week days.

Initial download of the metrics may take a while.