Open Access

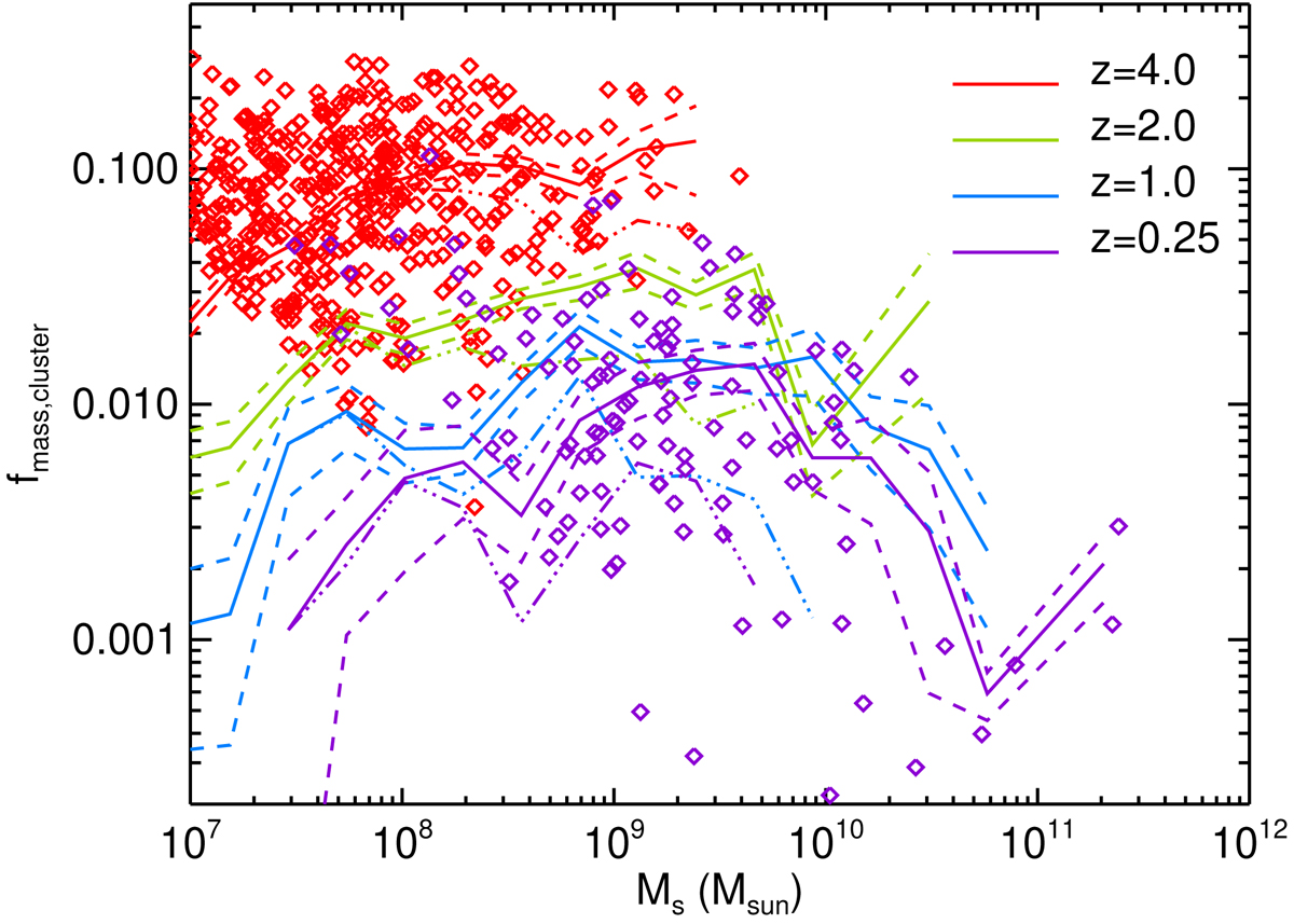
Fig. 17.

image

Fraction of stellar mass in stellar clusters as a function of galaxy stellar mass at different redshifts as indicated in the panel. The solid lines indicate the mean values, and the dashed lines stand for the error on the mean. The data points are overplotted for the most extreme redshifts to appreciate the scatter in the distribution of sampled values. Galaxies at high redshift are more clumpy than at low redshift at fixed stellar mass.

Current usage metrics show cumulative count of Article Views (full-text article views including HTML views, PDF and ePub downloads, according to the available data) and Abstracts Views on Vision4Press platform.

Data correspond to usage on the plateform after 2015. The current usage metrics is available 48-96 hours after online publication and is updated daily on week days.

Initial download of the metrics may take a while.