Open Access

Fig. 21.

image

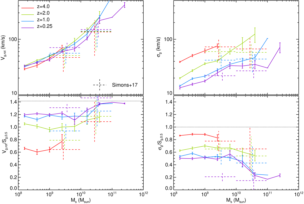
Gas kinematics as a function of galaxy stellar mass at different redshifts for gas density 0.01 < n < 10 cm−3, temperature lower than T < 2 × 104 K and within 2Reff. From left to right and top to bottom: rotational velocity, velocity dispersion, velocity dispersion over Sg, 0.5, and rotational velocity over Sg, 0.5. The error bars stand for the error on the mean. The dashed plus signs in the top right panel indicate the values with uncertainties from the fit to the observational data in Simons et al. (2017). The dotted lines on the bottom panels stand for the cases of pure rotational support or pure dispersion support, respectively. The NEWHORIZON galaxies decrease their amount of gas velocity dispersion over time for a given stellar mass, while keeping a similar amount of rotation.

Current usage metrics show cumulative count of Article Views (full-text article views including HTML views, PDF and ePub downloads, according to the available data) and Abstracts Views on Vision4Press platform.

Data correspond to usage on the plateform after 2015. The current usage metrics is available 48-96 hours after online publication and is updated daily on week days.

Initial download of the metrics may take a while.