Open Access

Fig. 3.

image

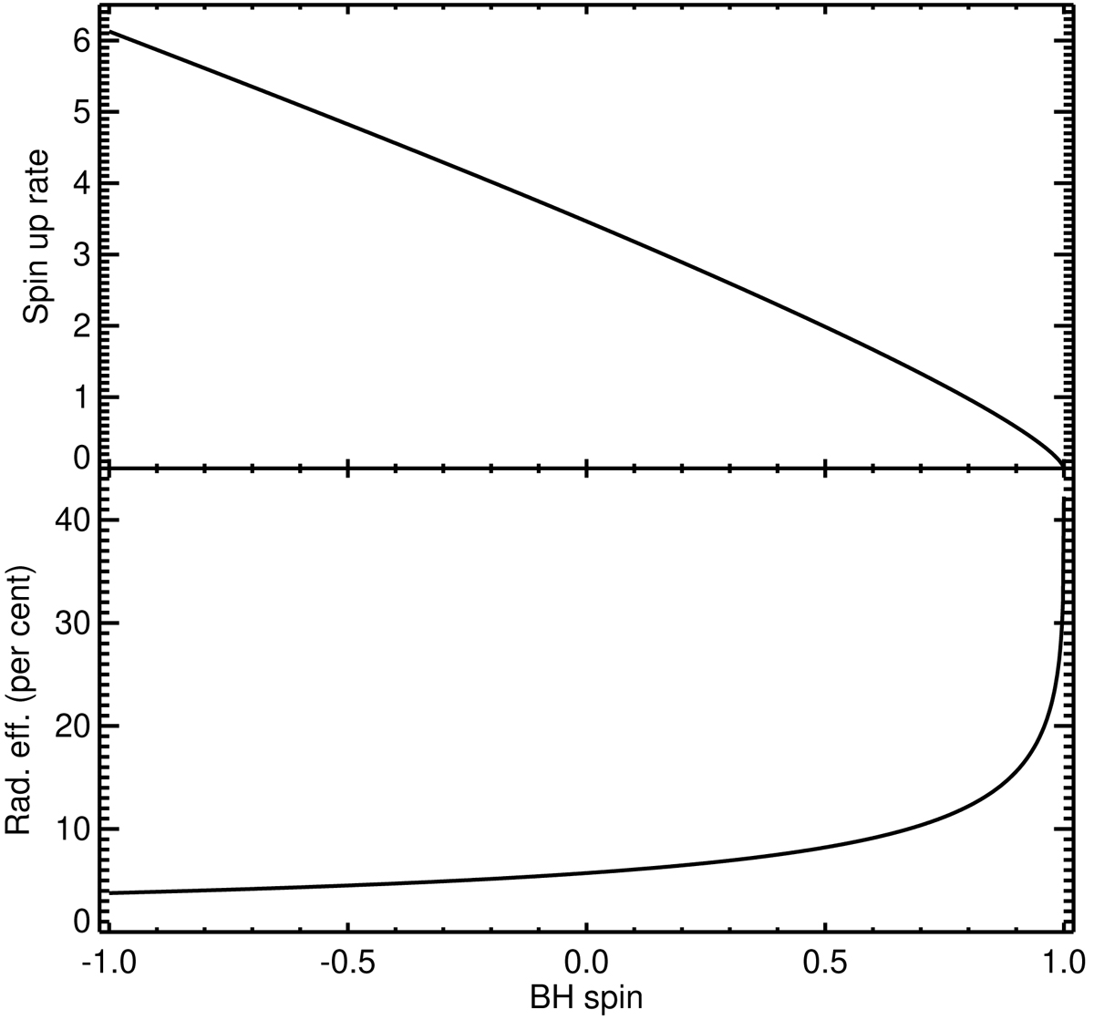
Spin-up rate (top panel) and radiative efficiency ϵrad/fatt (bottom panel) as a function of the MBH spin for the thin disc solution (Shakura & Sunyaev 1973) applied to the quasar mode. At negative values of the MBH spin, the gas accreted from the thin accretion disc decreases the MBH spin, while for a positive MBH spin, the gas increases. For the thin disc solution, the radiative efficiency is an increasing function of the MBH spin with a sharp increase (by 4) between a MBH spin of 0.7 and 0.998.

Current usage metrics show cumulative count of Article Views (full-text article views including HTML views, PDF and ePub downloads, according to the available data) and Abstracts Views on Vision4Press platform.

Data correspond to usage on the plateform after 2015. The current usage metrics is available 48-96 hours after online publication and is updated daily on week days.

Initial download of the metrics may take a while.