Open Access

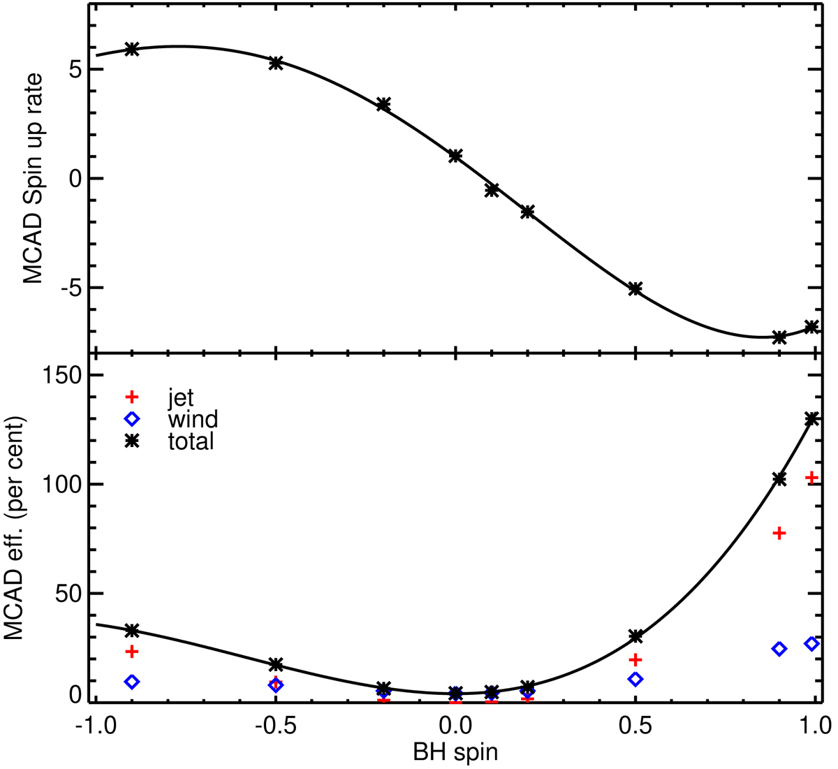
Fig. 4.

image

Spin-up rate (top panel), jet (red plus signs), wind (blue diamonds), and total (black) efficiencies (bottom panel) as a function of the MBH spin for the MCAD solution applied to the radio mode. The symbols represent the results from the simulations of McKinney et al. (2012) and the solid lines indicate the interpolated functions used in the NEWHORIZON simulation. As opposed to the thin disc solution (Fig. 3), gas accreted from the thick accretion disc always decreases the MBH spin. The MCAD feedback efficiency is an increasing function of the absolute value of the BH spin with a minimum efficiency for non-rotating MBHs.

Current usage metrics show cumulative count of Article Views (full-text article views including HTML views, PDF and ePub downloads, according to the available data) and Abstracts Views on Vision4Press platform.

Data correspond to usage on the plateform after 2015. The current usage metrics is available 48-96 hours after online publication and is updated daily on week days.

Initial download of the metrics may take a while.