Free Access

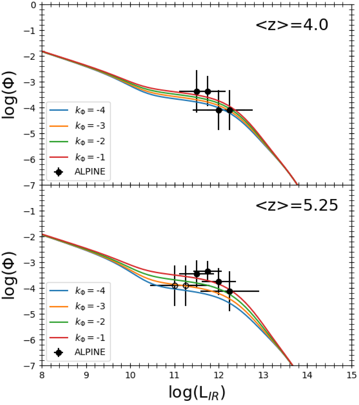
Fig. 12.

image

Observed IR LFs derived in the ALPINE survey (black circles, Gruppioni et al. 2020) at z = 3.5 − 4.5 (top) and z = 4.5 − 6 (bottom). The empty circles are below the completeness limits. The ALMA IR LFs are compared with the four extrapolations of the total Herschel LFs used in this work to extract simulated galaxies at z > 3 (coloured solid lines).

Current usage metrics show cumulative count of Article Views (full-text article views including HTML views, PDF and ePub downloads, according to the available data) and Abstracts Views on Vision4Press platform.

Data correspond to usage on the plateform after 2015. The current usage metrics is available 48-96 hours after online publication and is updated daily on week days.

Initial download of the metrics may take a while.