Free Access

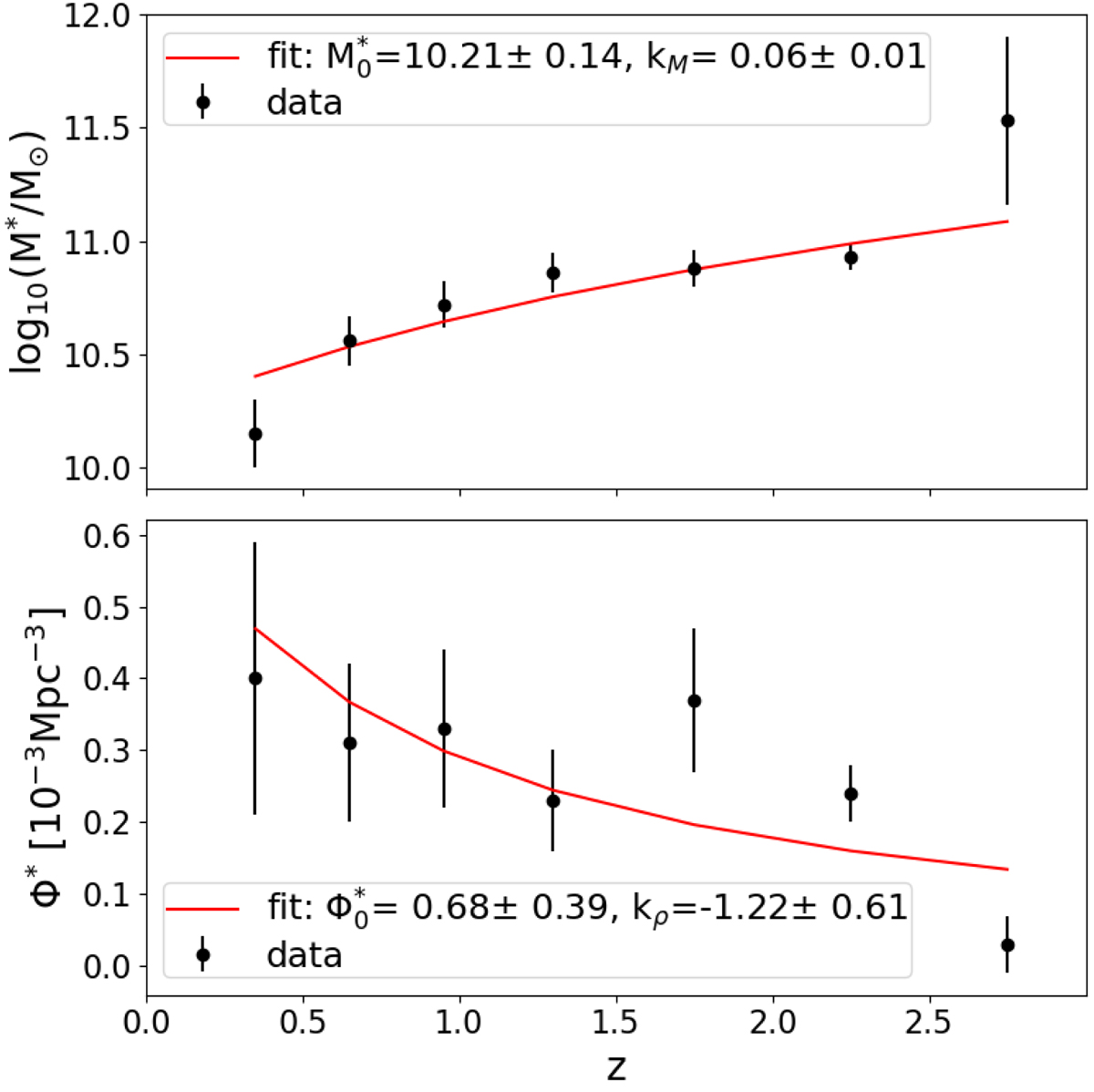
Fig. 5.

image

Redshift evolution of the characteristic stellar mass M* (top) and characteristic density Φ* (bottom) of the GSMF of irregular galaxies. Data by Huertas-Company et al. (2016, black dots) and our fit (red solid line) are shown. The latter has been derived with the SCIPY package (Virtanen et al. 2020) and the resulting parameters are reported in each panel.

Current usage metrics show cumulative count of Article Views (full-text article views including HTML views, PDF and ePub downloads, according to the available data) and Abstracts Views on Vision4Press platform.

Data correspond to usage on the plateform after 2015. The current usage metrics is available 48-96 hours after online publication and is updated daily on week days.

Initial download of the metrics may take a while.