Free Access

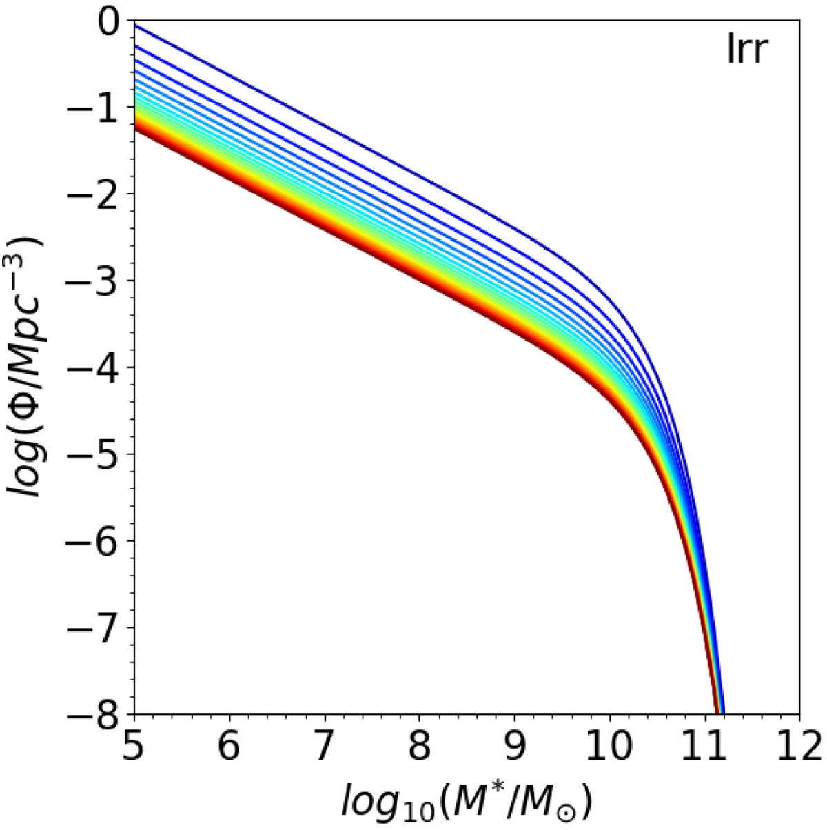
Fig. 6.

image

GSMF used to include simulated irregular galaxies in the SPRITZ simulation. The GSMFs are shown for different redshifts from 0.1 (solid dark blue line) to 9.6 (solid dark red line) with steps of 0.5, with the same colour code as in Fig. 3.

Current usage metrics show cumulative count of Article Views (full-text article views including HTML views, PDF and ePub downloads, according to the available data) and Abstracts Views on Vision4Press platform.

Data correspond to usage on the plateform after 2015. The current usage metrics is available 48-96 hours after online publication and is updated daily on week days.

Initial download of the metrics may take a while.