Free Access

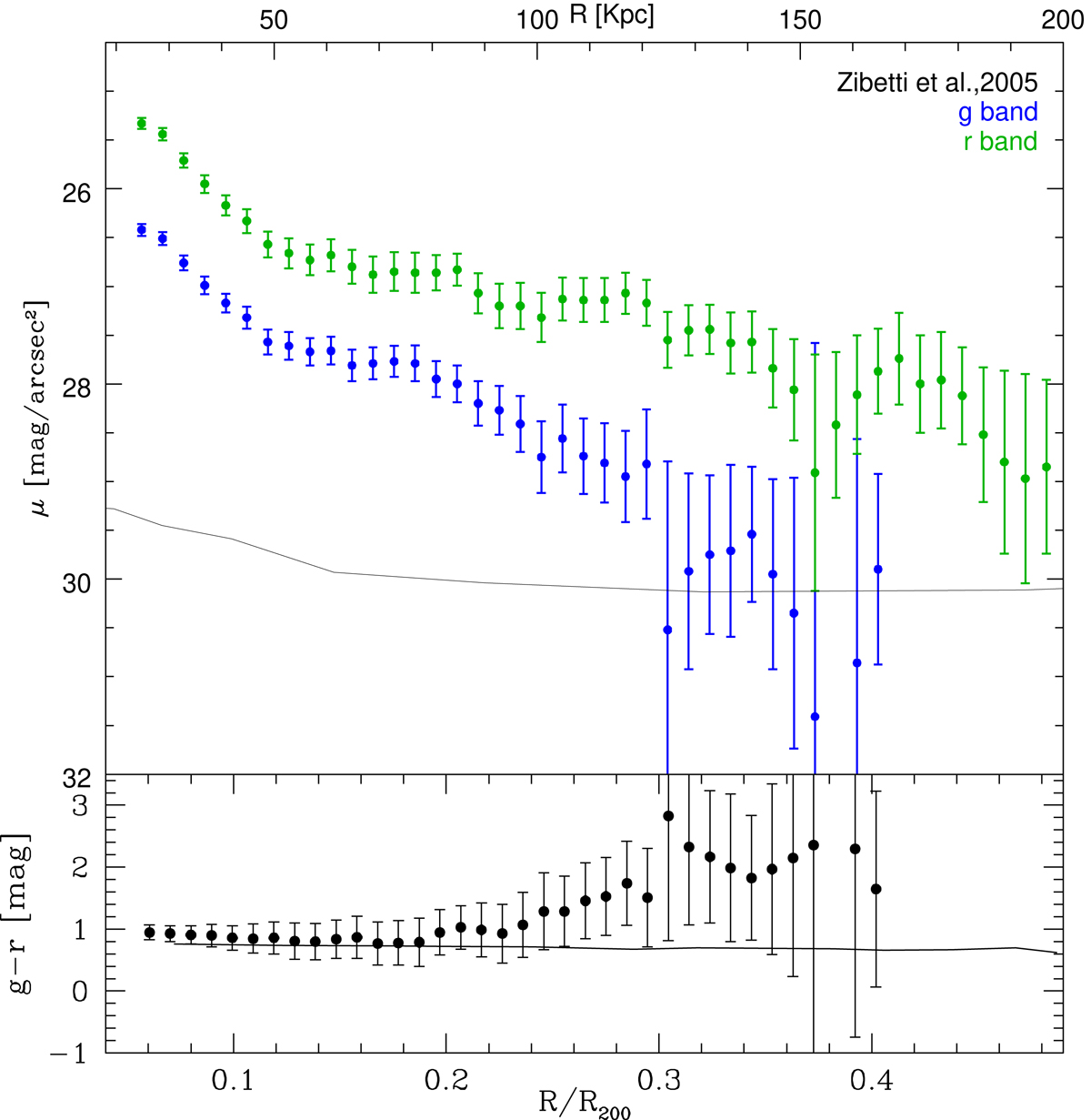
Fig. 7.

image

Azimuthally-averaged surface brightness and colour profiles of the IGL of the HCG 86 compared with the average surface brightness profile of the IGL for galaxy clusters by Zibetti et al. (2005). Top panel: azimuthally averaged surface brightness profiles of the IGL in the HCG 86 group derived in g and r bands (blue and green points, respectively). The solid black line is the average surface brightness profile of the IGL for galaxy clusters by Zibetti et al. (2005). Bottom panel: azimuthally averaged g − r colour profile of the ICL in the HCG 86 group compared with the range of g − r colours given by Zibetti et al. (2005) for ICL in galaxy clusters. The group centric and cluster centric distances are normalized for their R200.

Current usage metrics show cumulative count of Article Views (full-text article views including HTML views, PDF and ePub downloads, according to the available data) and Abstracts Views on Vision4Press platform.

Data correspond to usage on the plateform after 2015. The current usage metrics is available 48-96 hours after online publication and is updated daily on week days.

Initial download of the metrics may take a while.