Free Access

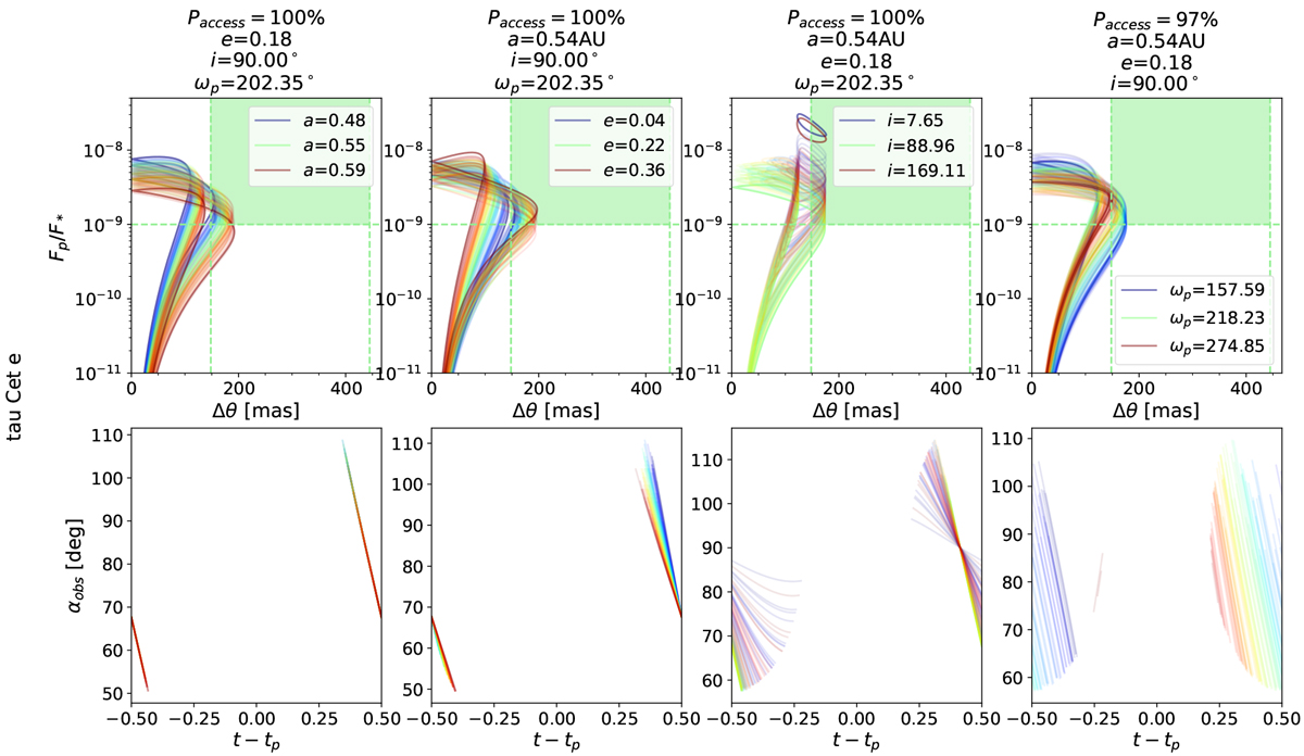
Fig. C.1

image

Sensitivity study for tau Cet e. Top row: FpFθ diagrams in which all orbital parameters remain fixed (as given in the corresponding title) except for the parameter indicated in the legend, which varies within its upper and lower uncertainties as quoted in the input catalogue (Table D.1). When any of the orbital parameters is unknown, we fix it to i = 90°, e = 0, or ωp = 180° for this sensitivity study. Lines with intermediate colours correspond to orbital realizations with intermediate values of that parameter. A total of 100 orbital realizations are shown. Bottom row: intervals of αobs that would be accessible for each of the orbital realizations in the panel above, using the same colour code. The optimistic CGI configuration is assumed.

Current usage metrics show cumulative count of Article Views (full-text article views including HTML views, PDF and ePub downloads, according to the available data) and Abstracts Views on Vision4Press platform.

Data correspond to usage on the plateform after 2015. The current usage metrics is available 48-96 hours after online publication and is updated daily on week days.

Initial download of the metrics may take a while.