Free Access

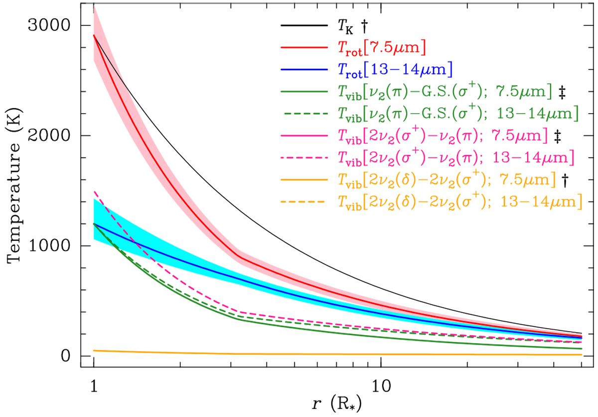
Fig. 9

image

Temperatures involved in the envelope models. The kinetic temperature, TK, was adopted from Guélin et al. (2018). The rotational and vibrational temperatures, Trot and Tvib, were derived in this work (Table 2). The shaded regions are the 1σ errors. The uncertainties of the vibrational temperatures are not plotted for the sake of clarity. The temperatures with the same symbol(† or ‡) coincide.

Current usage metrics show cumulative count of Article Views (full-text article views including HTML views, PDF and ePub downloads, according to the available data) and Abstracts Views on Vision4Press platform.

Data correspond to usage on the plateform after 2015. The current usage metrics is available 48-96 hours after online publication and is updated daily on week days.

Initial download of the metrics may take a while.