Open Access
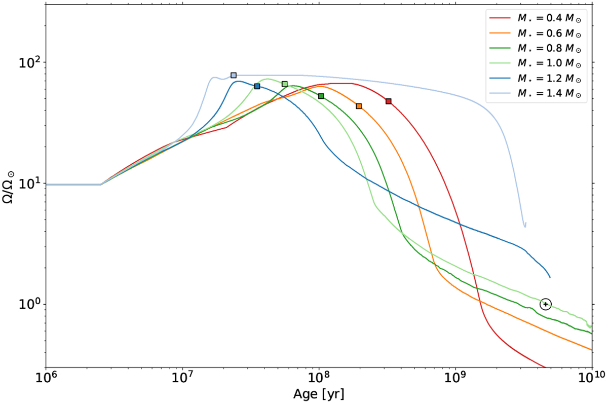
Fig. 7

Evolution of the surface rotation rate (scaled to the present Sun rotation rate) for stars with a mass ranging from 0.4 to 1.4 solar masses (Amard et al. 2019). The solar rotation rate at solar age is represented by a black circle. The colored squares correspond to the ZAMS in each model.
Current usage metrics show cumulative count of Article Views (full-text article views including HTML views, PDF and ePub downloads, according to the available data) and Abstracts Views on Vision4Press platform.
Data correspond to usage on the plateform after 2015. The current usage metrics is available 48-96 hours after online publication and is updated daily on week days.
Initial download of the metrics may take a while.