Free Access

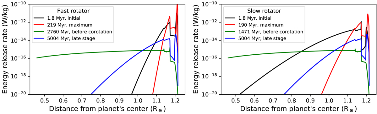
Fig. 5

image

Induction heating inside Proxima Cen b averaged over latitude at different evolutionary stages. The heating has been calculated for a 1.8 M and 1.2 R planet with an iron content of 20 wt%. Left panel: distribution of induction heating inside Proxima Cen b if Proxima Cen has evolved as a fast rotator. Right panel: the same if Proxima Cen has evolved as a slow rotator. The given times are as follows: i) during the early pre-MS phase (1.8 Myr); ii) at the time of the maximum heating, which coincides with the fastest stellar rotation (219 Myr for the fast rotator, 190 Myr for slow rotator); iii) near the corotation time, when the stellar rotation period nearly equals the planetary orbital period of 11.2 days and the energy release is near its minimum (2760 Myr for the fast rotator, 1471 Myr for the slow rotator); iv) at an old age of 5004 Myr, when the energy release is determined by the planetary orbital motion. We note that the energy release at time step iv) is the same for the fast rotator and for the slow rotator. For higher rotation rates, the energy release declines faster inside the planetary interiors due to shallower skin depths.

Current usage metrics show cumulative count of Article Views (full-text article views including HTML views, PDF and ePub downloads, according to the available data) and Abstracts Views on Vision4Press platform.

Data correspond to usage on the plateform after 2015. The current usage metrics is available 48-96 hours after online publication and is updated daily on week days.

Initial download of the metrics may take a while.