Free Access

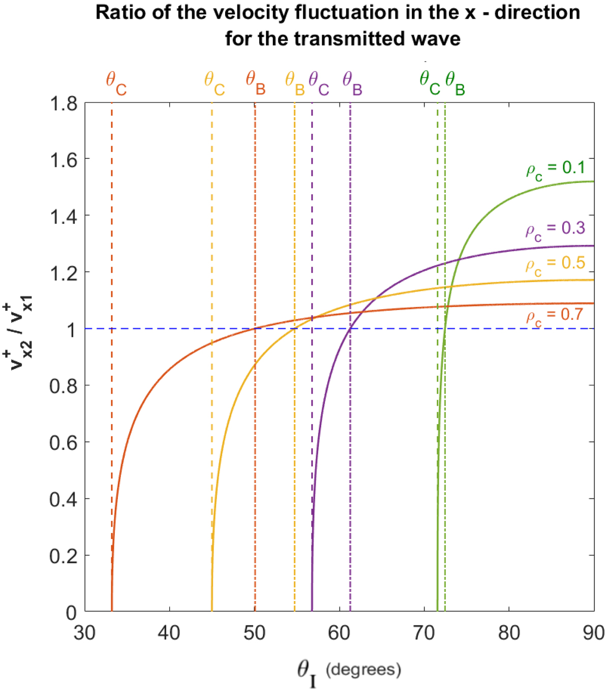
Fig. 10.

image

Velocity perturbation ratio of the transmitted wave in the x-direction with respect to the incoming wave, , as a function of the incidence angle, θI, for different density contrasts, ρc. The vertical dashed and dashed-dotted lines denote the Critical angle, θC, and the Brewster angle, θB, for the different density contrasts. The horizontal blue dashed line shows that the intersection of the velocity perturbation and the Brewster angle is equal to one for all different density contrasts.

Current usage metrics show cumulative count of Article Views (full-text article views including HTML views, PDF and ePub downloads, according to the available data) and Abstracts Views on Vision4Press platform.

Data correspond to usage on the plateform after 2015. The current usage metrics is available 48-96 hours after online publication and is updated daily on week days.

Initial download of the metrics may take a while.