Free Access

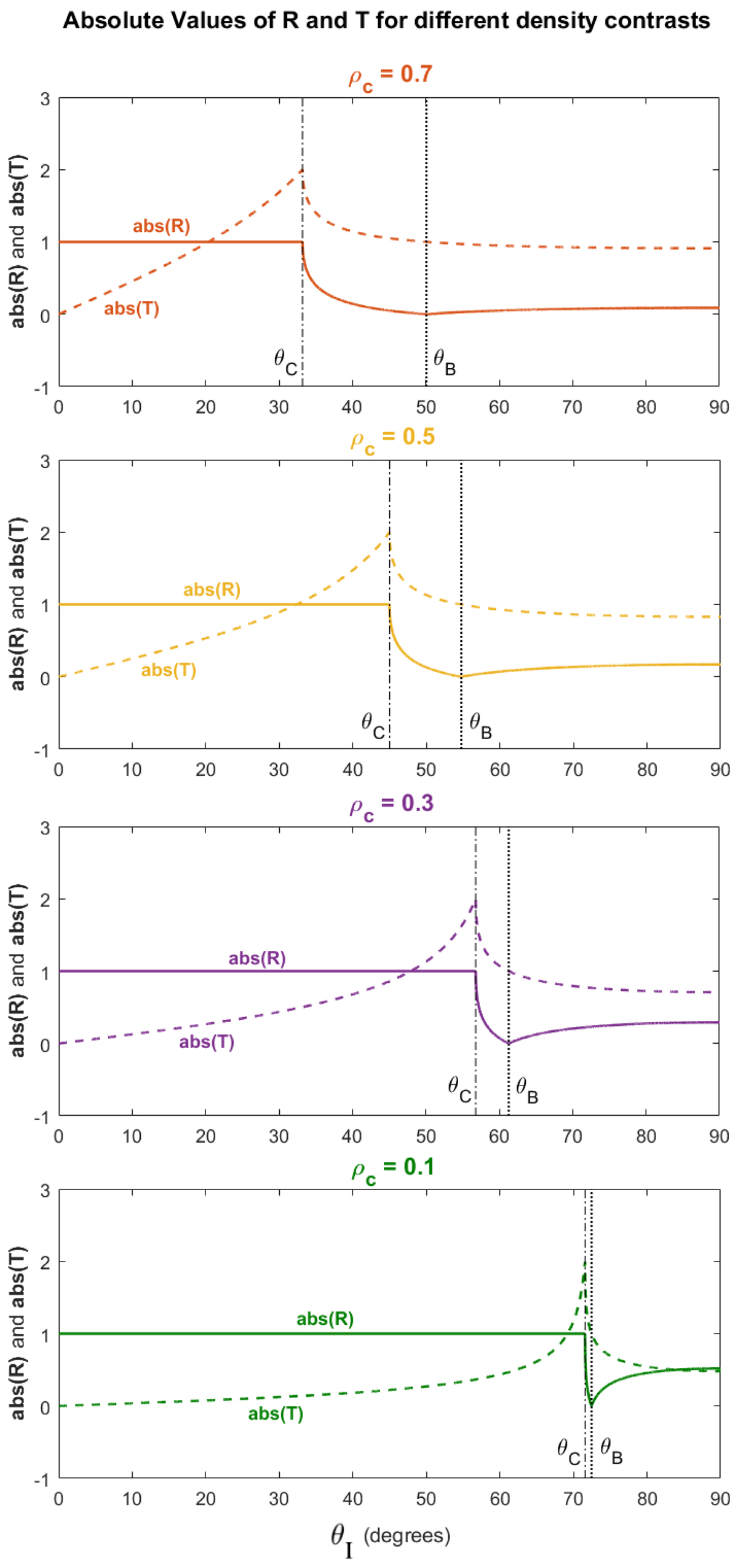
Fig. 2.

image

Modulus of R and T as a function of the incidence angle, θI, for different values of the density contrast, ρc. The vertical dash-dotted and dotted lines correspond to the Critical angle, θC, and the Brewster angle, θB, introduced in Sect. 3.

Current usage metrics show cumulative count of Article Views (full-text article views including HTML views, PDF and ePub downloads, according to the available data) and Abstracts Views on Vision4Press platform.

Data correspond to usage on the plateform after 2015. The current usage metrics is available 48-96 hours after online publication and is updated daily on week days.

Initial download of the metrics may take a while.