Free Access

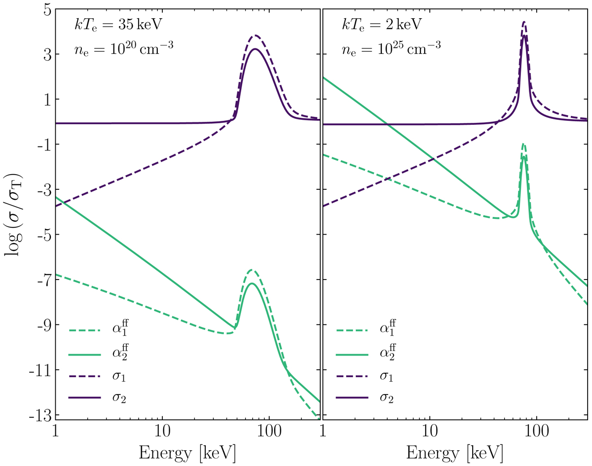
Fig. 2.

image

Total cross section for magnetic Compton scattering (purple lines) and the free–free absorption coefficient (cyan lines) for the ordinary (solid) and extraordinary (dashed) polarization mode, taking into account vacuum polarization. Left: coefficients for a tenuous and hot plasma with ne = 1020 cm−3 and kTe = 35 keV, as expected for the upper, overheated layers of the atmosphere. Right: same but for cold and dense plasma with ne = 1025 cm−3 and kTe = 2 keV, corresponding to the bottom part of the atmosphere. The cyclotron line energy is Ecyc = 75 keV and the incident photon has a direction of θ = 60° with respect to the magnetic field, for both cases.

Current usage metrics show cumulative count of Article Views (full-text article views including HTML views, PDF and ePub downloads, according to the available data) and Abstracts Views on Vision4Press platform.

Data correspond to usage on the plateform after 2015. The current usage metrics is available 48-96 hours after online publication and is updated daily on week days.

Initial download of the metrics may take a while.