Free Access

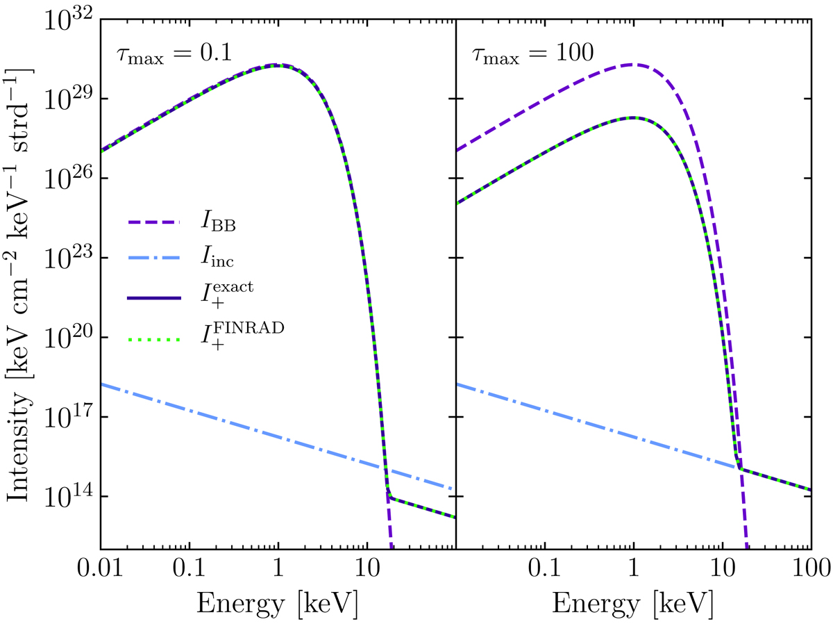
Fig. A.1.

image

Intensity of the radiation emerging from a homogeneous, slab-like atmosphere with pure isotropic scattering at an angle of θ = 60°. The slab is illuminated by Iinc ∝ E−1 from the top and by black body radiation from the bottom, IBB(kTe) with kTe = 0.35 keV. The results are presented for two different total optical depths: τmax = 0.1 (left) and τmax = 100 (right).

Current usage metrics show cumulative count of Article Views (full-text article views including HTML views, PDF and ePub downloads, according to the available data) and Abstracts Views on Vision4Press platform.

Data correspond to usage on the plateform after 2015. The current usage metrics is available 48-96 hours after online publication and is updated daily on week days.

Initial download of the metrics may take a while.