Highlight
Open Access

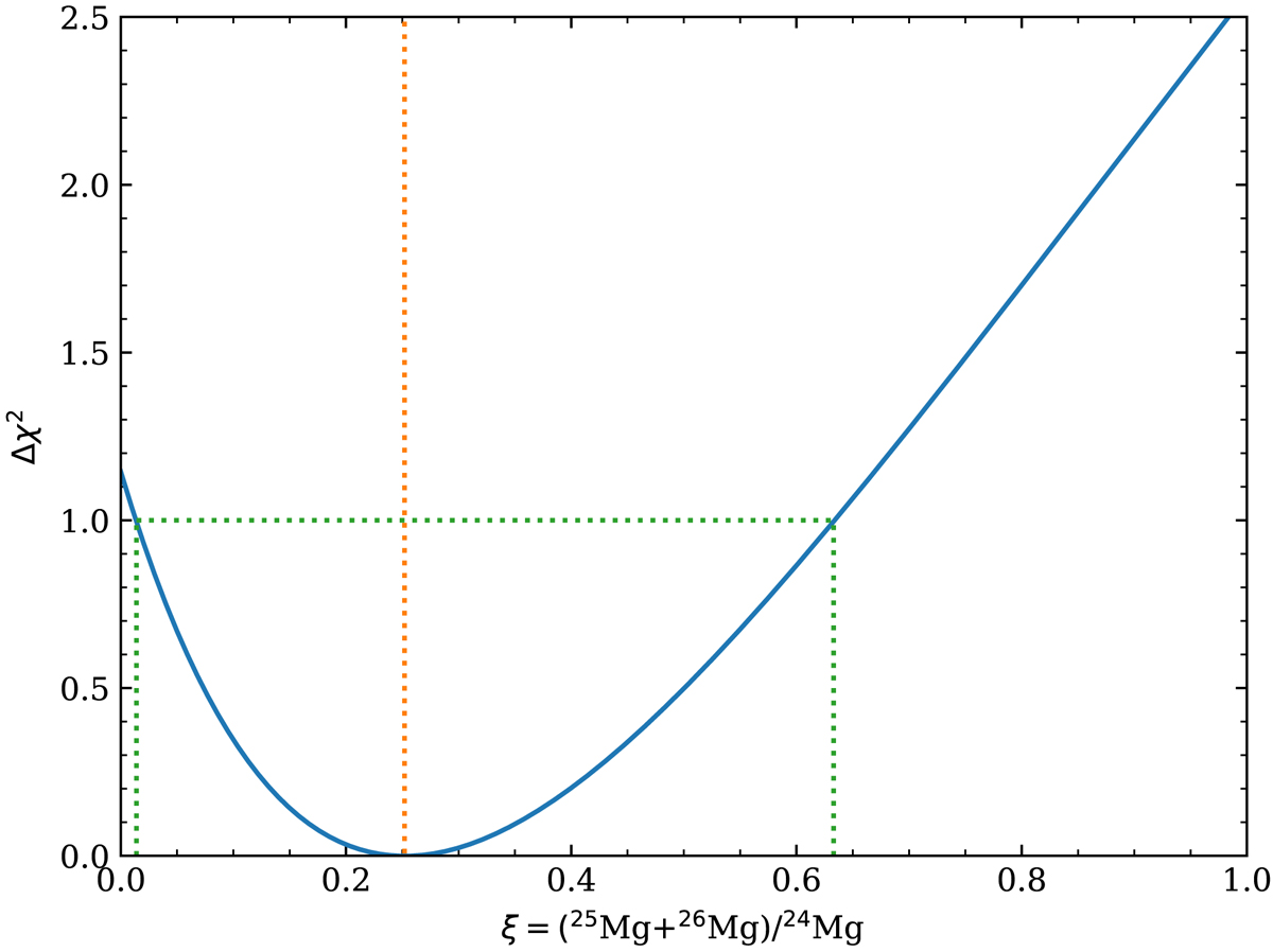
Fig. 7.

image

values as a function of the assumed isotopic ratio ξ for the Voigt profile fit of Mg II lines explicitly including all three isotopes in the model. (891 degrees of freedom) is reached for ξ = 0.24 (dotted orange line). The corresponding 1σ range goes from ξ = 0.01 to ξ = 0.63 (green dotted lines).

Current usage metrics show cumulative count of Article Views (full-text article views including HTML views, PDF and ePub downloads, according to the available data) and Abstracts Views on Vision4Press platform.

Data correspond to usage on the plateform after 2015. The current usage metrics is available 48-96 hours after online publication and is updated daily on week days.

Initial download of the metrics may take a while.