Free Access

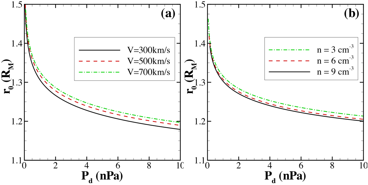
Fig. 5

image

Fitting results for . The solid black, dashed red, and dot-dashed green lines in panel a are the results for V = − 300, − 500, and − 700 km s−1, respectively. The dot-dashed green, dashed red, and solid black lines in panel b represent the results for n = 3, 6, and 9 cm−3, respectively. The IMF conditions are BX = −1.6776 nT, BY = 2.4871 nT, and BZ = 0 nT, which represent the normal condition of the Parker spiral IMF at Mars.

Current usage metrics show cumulative count of Article Views (full-text article views including HTML views, PDF and ePub downloads, according to the available data) and Abstracts Views on Vision4Press platform.

Data correspond to usage on the plateform after 2015. The current usage metrics is available 48-96 hours after online publication and is updated daily on week days.

Initial download of the metrics may take a while.