Free Access

Fig. 1

image

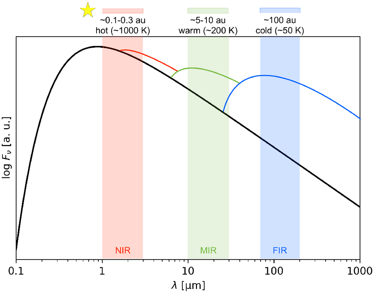
Illustration of the typical orbital distances and temperatures for the hot, warm, and cold dust belts considered in this work, and of the corresponding wavelength ranges in terms of spectral energy distribution. Adapted from Kirchschlager et al. (2017).

Current usage metrics show cumulative count of Article Views (full-text article views including HTML views, PDF and ePub downloads, according to the available data) and Abstracts Views on Vision4Press platform.

Data correspond to usage on the plateform after 2015. The current usage metrics is available 48-96 hours after online publication and is updated daily on week days.

Initial download of the metrics may take a while.