Free Access

Fig. 7

image

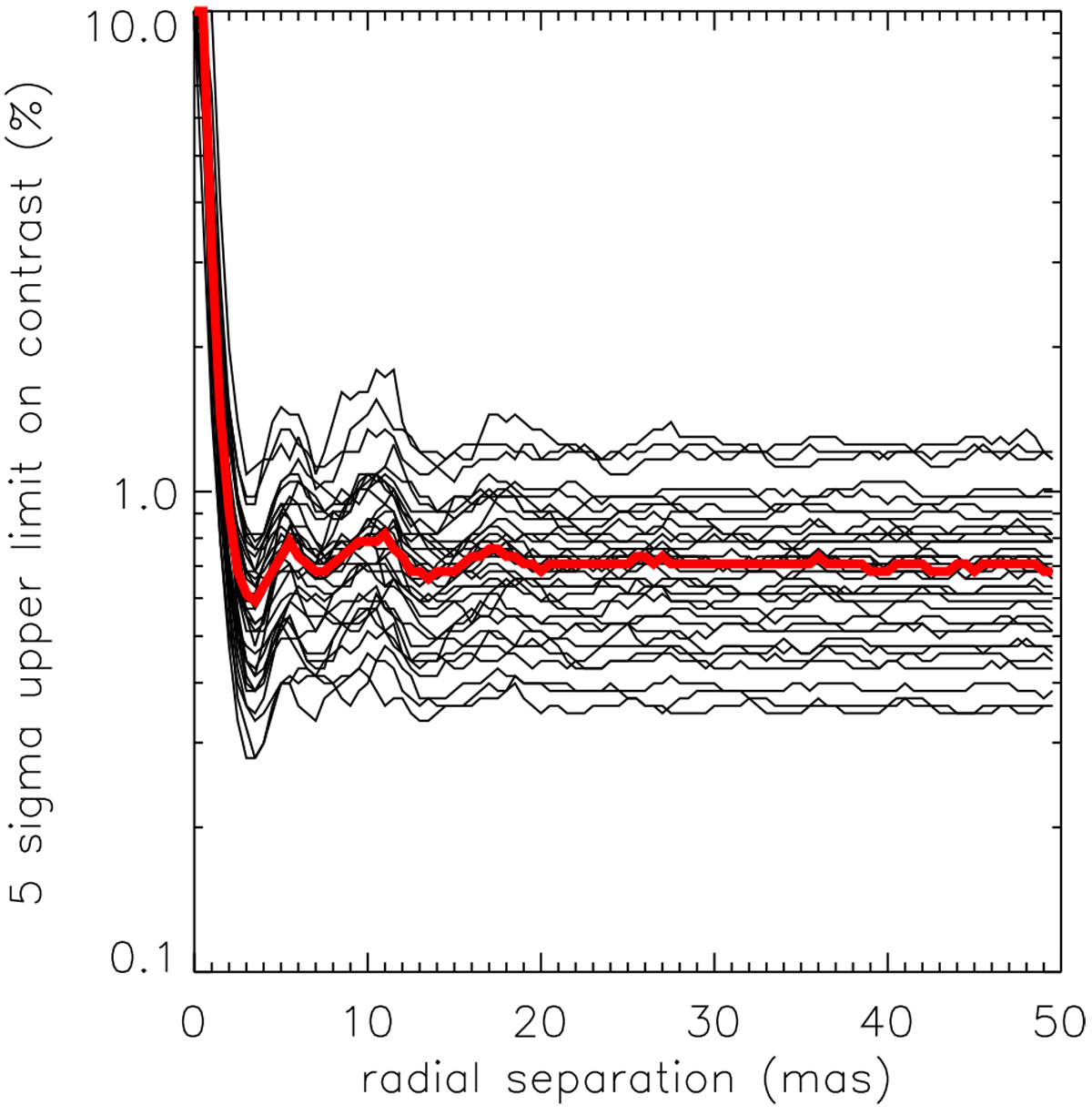
Sensitivity of PIONIER to point-like companions as a function of the radial distance to the central star for the 35 stars showing no H-band excess in our observations. The sensitivity is expressed as the azimuthal median of the 5σ upper limit based on an analysis of the combined χ2 for the CP and V2. The red curve is the median sensitivity on the 35 stars.

Current usage metrics show cumulative count of Article Views (full-text article views including HTML views, PDF and ePub downloads, according to the available data) and Abstracts Views on Vision4Press platform.

Data correspond to usage on the plateform after 2015. The current usage metrics is available 48-96 hours after online publication and is updated daily on week days.

Initial download of the metrics may take a while.