Open Access

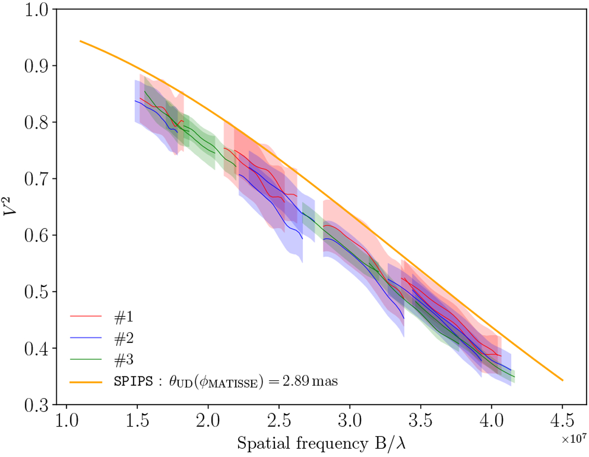
Fig. 2

image

Calibrated squared visibilities of Car as a function of the spatial frequencies in the L band for observations 1, 2, and 3. The theoretical visibility curve corresponding to a uniform disk of θUD = 2.887 ± 0.003 mas in the L band, as derived from the SPIPS analysis (i.e., without CSE) is indicated for comparison.

Current usage metrics show cumulative count of Article Views (full-text article views including HTML views, PDF and ePub downloads, according to the available data) and Abstracts Views on Vision4Press platform.

Data correspond to usage on the plateform after 2015. The current usage metrics is available 48-96 hours after online publication and is updated daily on week days.

Initial download of the metrics may take a while.