Open Access

Fig. 12

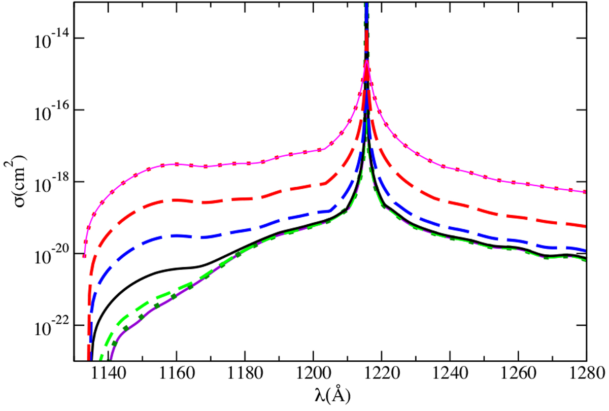
image

Blue wing of Lyman-α simultaneously perturbed by He and H atoms for a different ratio of helium and hydrogen densities. From top to bottom, nHe /nH is 103, 102, 10, 1, 0.1, and 10−2. The Lyman-α profiles resulting from perturbation by either H-He or H-H collisions separately are overplotted (dotted lines) for ratios of 103 and 10−2, respectively.The temperature is 12 000 K.

Current usage metrics show cumulative count of Article Views (full-text article views including HTML views, PDF and ePub downloads, according to the available data) and Abstracts Views on Vision4Press platform.

Data correspond to usage on the plateform after 2015. The current usage metrics is available 48-96 hours after online publication and is updated daily on week days.

Initial download of the metrics may take a while.