Open Access

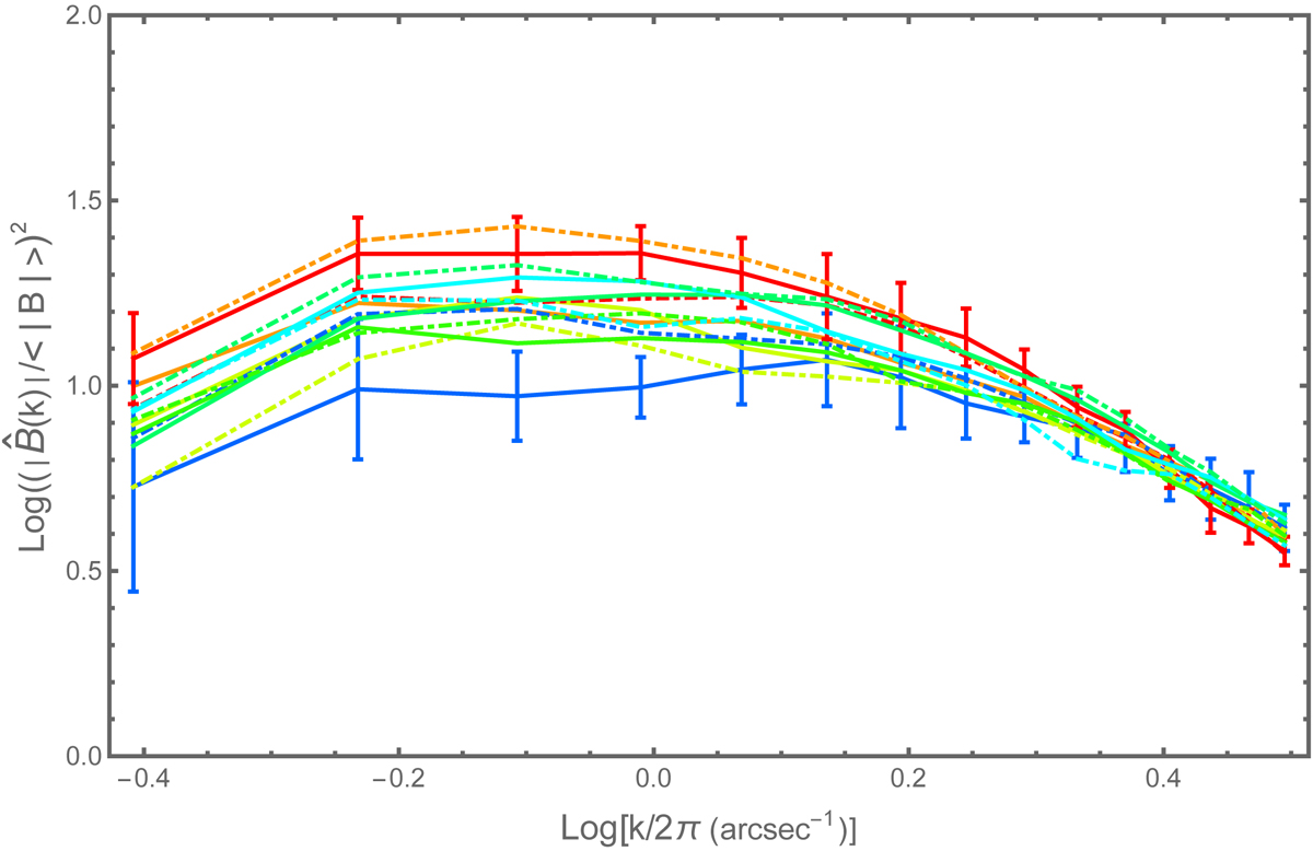
Fig. 8.

image

Power spectra of the unsigned magnetic flux density in the IN regions at high latitudes in both hemispheres. Full lines refer to the southern hemisphere; dot-dashed lines to the northern hemisphere. The bars show the ±σ intervals for the 2008 and 2014 data. The color code for the year of observation is the same as in Fig. 5.

Current usage metrics show cumulative count of Article Views (full-text article views including HTML views, PDF and ePub downloads, according to the available data) and Abstracts Views on Vision4Press platform.

Data correspond to usage on the plateform after 2015. The current usage metrics is available 48-96 hours after online publication and is updated daily on week days.

Initial download of the metrics may take a while.