Open Access

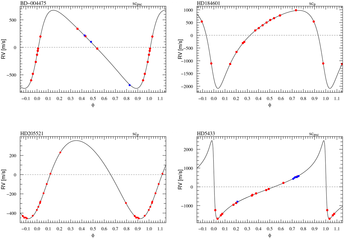
Fig. B.4

image

Phase folded RV curve for the four BDs with m sin i in the range of 13–75 MJ. SOPHIE and SOPHIE+ RV measurements are indicated in blue squares and red circles respectively.

Current usage metrics show cumulative count of Article Views (full-text article views including HTML views, PDF and ePub downloads, according to the available data) and Abstracts Views on Vision4Press platform.

Data correspond to usage on the plateform after 2015. The current usage metrics is available 48-96 hours after online publication and is updated daily on week days.

Initial download of the metrics may take a while.