Free Access

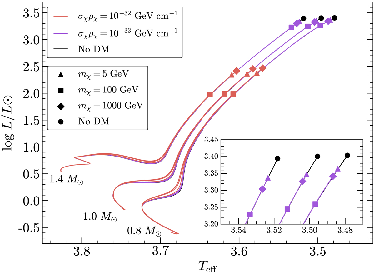
Fig. 6.

image

HR diagram for low–mass RGB stars (Z = 0.0187) with DM energy production for different DM models (mχ and σχρχ). The respective benchmark models (i.e., with no DM) are also shown. All models begin in the ZAMS and evolve until the ignition of helium.

Current usage metrics show cumulative count of Article Views (full-text article views including HTML views, PDF and ePub downloads, according to the available data) and Abstracts Views on Vision4Press platform.

Data correspond to usage on the plateform after 2015. The current usage metrics is available 48-96 hours after online publication and is updated daily on week days.

Initial download of the metrics may take a while.