Free Access

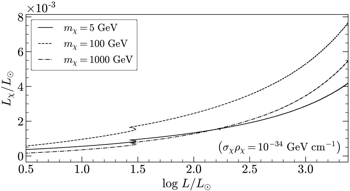
Fig. 9.

image

DM luminosity as a function of the total luminosity, which here represents the evolution of the star during the RGB (see Fig. 6 for reference), for different values of DM mass. The wiggle present in all cases at Lχ/L ≃ 1.5 corresponds to the RGB bump.

Current usage metrics show cumulative count of Article Views (full-text article views including HTML views, PDF and ePub downloads, according to the available data) and Abstracts Views on Vision4Press platform.

Data correspond to usage on the plateform after 2015. The current usage metrics is available 48-96 hours after online publication and is updated daily on week days.

Initial download of the metrics may take a while.