Open Access

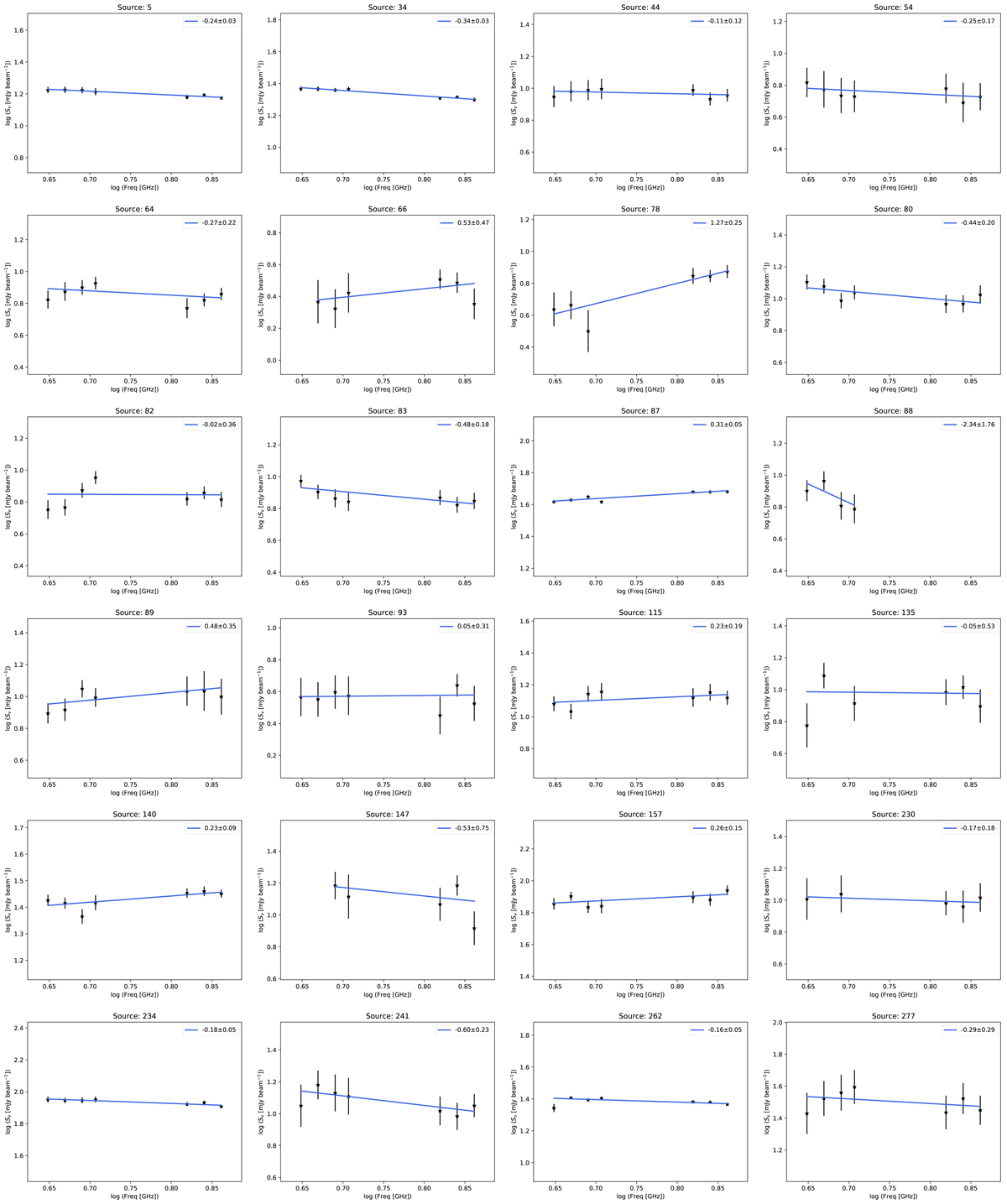
Fig. C.2.

image

Linear fits of the peak brightness against frequency in logarithmic scale to determine the spectral index of a source. To better appreciate the error bars, all panels have a total range of 1 on the y-axis, centred on the mean brightness of that panel. The frequencies range from 4.45 GHz to 7.2 GHz.

Current usage metrics show cumulative count of Article Views (full-text article views including HTML views, PDF and ePub downloads, according to the available data) and Abstracts Views on Vision4Press platform.

Data correspond to usage on the plateform after 2015. The current usage metrics is available 48-96 hours after online publication and is updated daily on week days.

Initial download of the metrics may take a while.