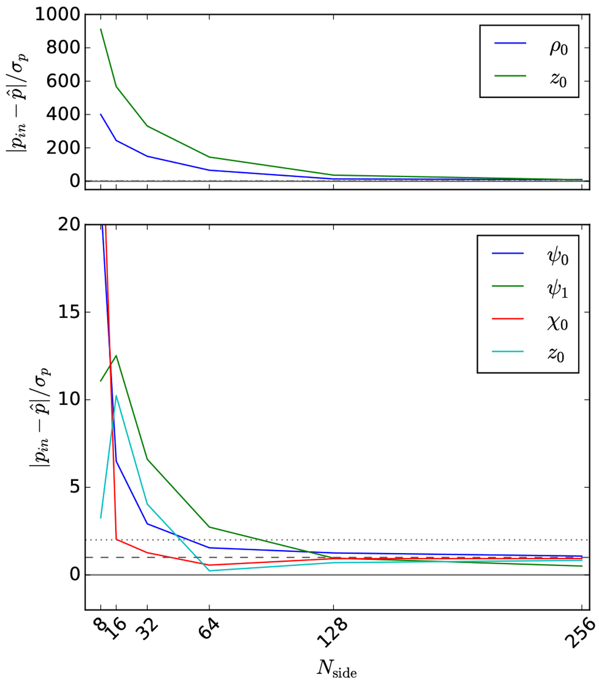
Fig. B.2

Significance of the resolution bias of the best-fit parameter values as compared to the input parameter values as a function of the Nside value used to generate the models in the MCMC algorithm. for simulation S1. Top panel: two parameters of the ED dust densitydistribution. Bottom panel: behavior for the four GMF parameters.
Current usage metrics show cumulative count of Article Views (full-text article views including HTML views, PDF and ePub downloads, according to the available data) and Abstracts Views on Vision4Press platform.
Data correspond to usage on the plateform after 2015. The current usage metrics is available 48-96 hours after online publication and is updated daily on week days.
Initial download of the metrics may take a while.