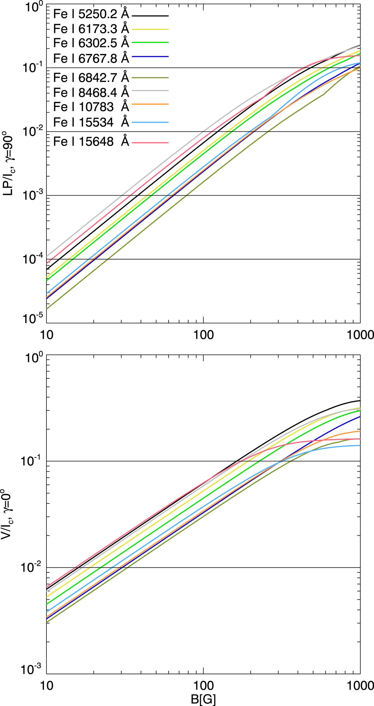
Fig. 3.

Download original image
Maximum linear () and circular (V = max(|V|)) polarisation signals for the selected nine most Zeeman-sensitive photospheric lines (see legend in the top panel). We use the HSRA atmosphere and vary the field strength from 10 to 1000 G (see abscissas). Upper panel: results when the inclination is 90° (horizontal magnetic field with respect to the solar surface), and lower panel: results for a magnetic field that is parallel to the line of sight, i.e., an inclination of 0°. The azimuth is always equal to 70°.
Current usage metrics show cumulative count of Article Views (full-text article views including HTML views, PDF and ePub downloads, according to the available data) and Abstracts Views on Vision4Press platform.
Data correspond to usage on the plateform after 2015. The current usage metrics is available 48-96 hours after online publication and is updated daily on week days.
Initial download of the metrics may take a while.