Free Access
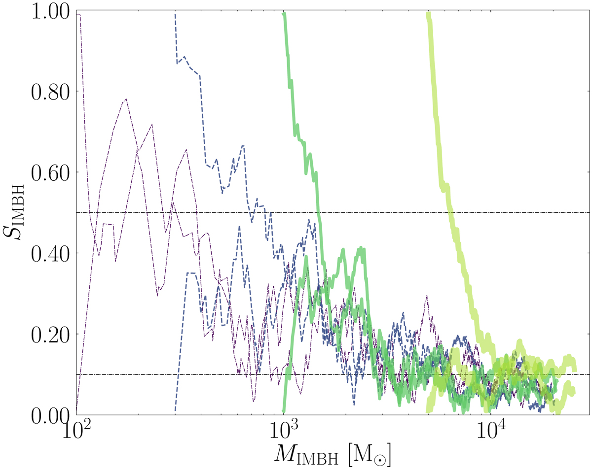
Fig. 12.

Spin evolution for IMBH seeds that undergo a series of mergers with stellar BHs. The increase in mass marks the direction of time. The leftmost point in each curve represents the adopted values of the initial mass and spin of the IMBH.
Current usage metrics show cumulative count of Article Views (full-text article views including HTML views, PDF and ePub downloads, according to the available data) and Abstracts Views on Vision4Press platform.
Data correspond to usage on the plateform after 2015. The current usage metrics is available 48-96 hours after online publication and is updated daily on week days.
Initial download of the metrics may take a while.