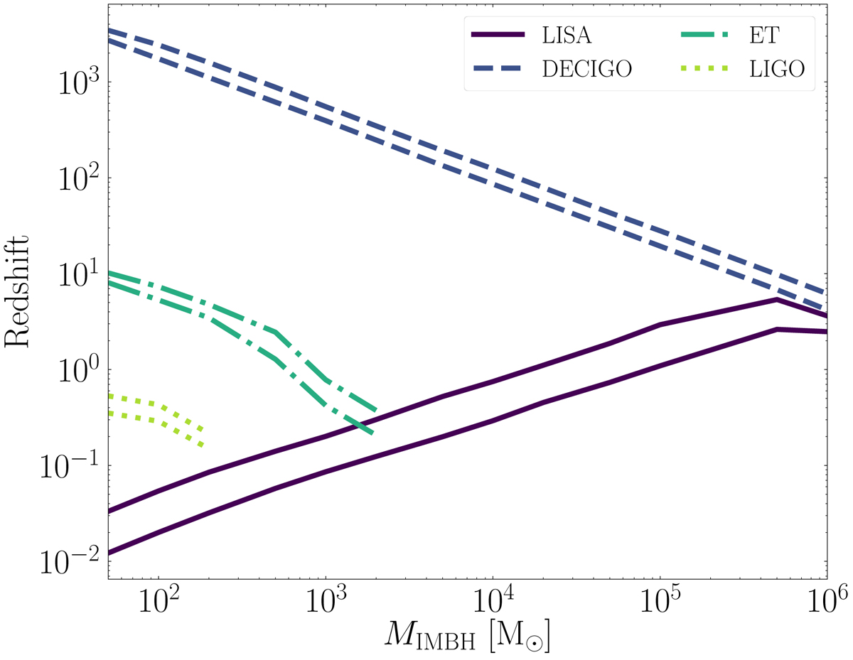
Fig. 19.

Horizon redshift as a function of the IMBH mass assuming a BH companion with a mass of 10 M⊙ (lower curves) or 30 M⊙ (upper curves). Different curve collections correspond to different detectors: LISA (straight lines), DECIGO (dashed lines), ET (dotted lines), LIGO (dot-dashed lines). In the following section, we discuss whether some classes of IMRIs can appear as multiband sources.
Current usage metrics show cumulative count of Article Views (full-text article views including HTML views, PDF and ePub downloads, according to the available data) and Abstracts Views on Vision4Press platform.
Data correspond to usage on the plateform after 2015. The current usage metrics is available 48-96 hours after online publication and is updated daily on week days.
Initial download of the metrics may take a while.