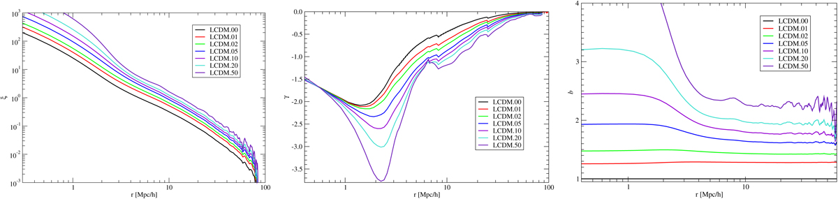
Fig. 1.

Download original image
Three-dimensional correlation and related functions of LCDM models for different particle density threshold δ0 limits. Left panel: CF. Central panel: gradient function, γ(r) = dlog g(r)/dlog r. Right panel: bias function, , using the CF of the full DM LCDM.00 model as a reference. As argument we use the pair separation in 3D real space,
.
Current usage metrics show cumulative count of Article Views (full-text article views including HTML views, PDF and ePub downloads, according to the available data) and Abstracts Views on Vision4Press platform.
Data correspond to usage on the plateform after 2015. The current usage metrics is available 48-96 hours after online publication and is updated daily on week days.
Initial download of the metrics may take a while.