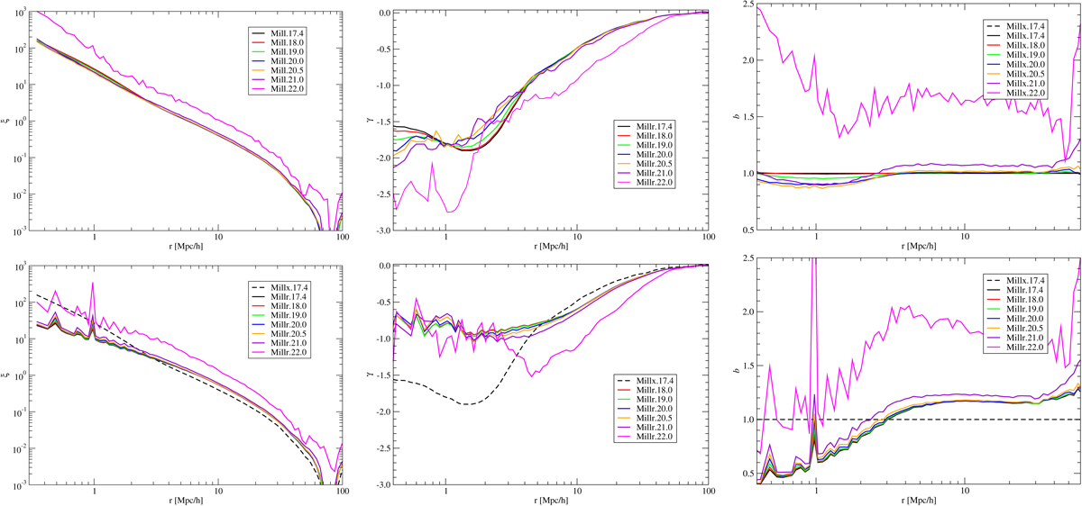
Fig. 2.

Download original image
Three-dimensional correlation and related functions of Millennium models. Top panels: real space. Bottom panels: redshift space. Left panels: CFs. Central panels: gradient functions. Right panels: relative bias functions. For comparison we show the 3D real space CF, the gradient, and the bias function of the sample Mill.17.4 with dashed lines in the bottom panels. As argument we use the pair separation in 3D real space.
Current usage metrics show cumulative count of Article Views (full-text article views including HTML views, PDF and ePub downloads, according to the available data) and Abstracts Views on Vision4Press platform.
Data correspond to usage on the plateform after 2015. The current usage metrics is available 48-96 hours after online publication and is updated daily on week days.
Initial download of the metrics may take a while.