Free Access
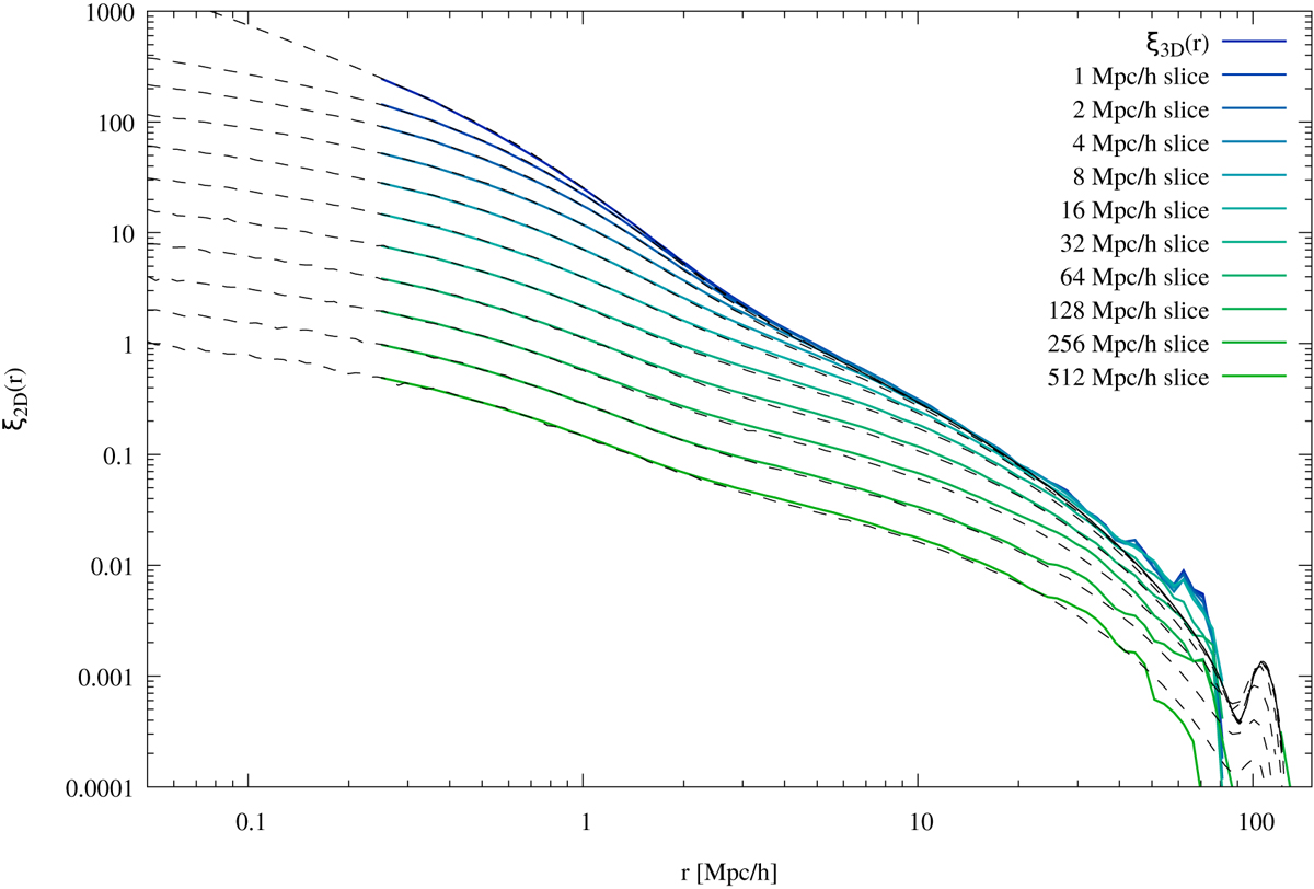
Fig. 7.

Download original image
Two-dimensional CFs of LCDM models, calculated from 2D density fields (solid coloured lines), and analytically from the 3D CF model using Eq. (A.5) (dashed lines).
Current usage metrics show cumulative count of Article Views (full-text article views including HTML views, PDF and ePub downloads, according to the available data) and Abstracts Views on Vision4Press platform.
Data correspond to usage on the plateform after 2015. The current usage metrics is available 48-96 hours after online publication and is updated daily on week days.
Initial download of the metrics may take a while.