Free Access

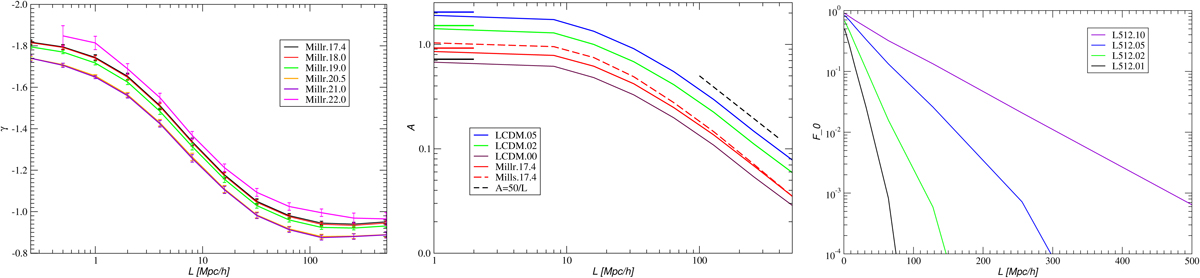
Fig. 8.

image

Download original image

Left panel: dependence of the slope γ of Millennium 2D CFs of various magnitude limits on the thickness of samples L. Middle panel: amplitudes A = ξ(6) of several LCDM and Millennium simulation 2D CFs as functions of the thickness of samples, L. For the Mill.17.4 sample, amplitudes are shown for real space and redshift space CFs. Short lines show 3D CF amplitudes of the same samples. The black dashed line shows the approximation A = 50/L. Right panel: fraction of zero-density cells (ρ ≤ 0.001) in 2D density fields, F0, as a function of the thickness of 2D samples, L.

Current usage metrics show cumulative count of Article Views (full-text article views including HTML views, PDF and ePub downloads, according to the available data) and Abstracts Views on Vision4Press platform.

Data correspond to usage on the plateform after 2015. The current usage metrics is available 48-96 hours after online publication and is updated daily on week days.

Initial download of the metrics may take a while.