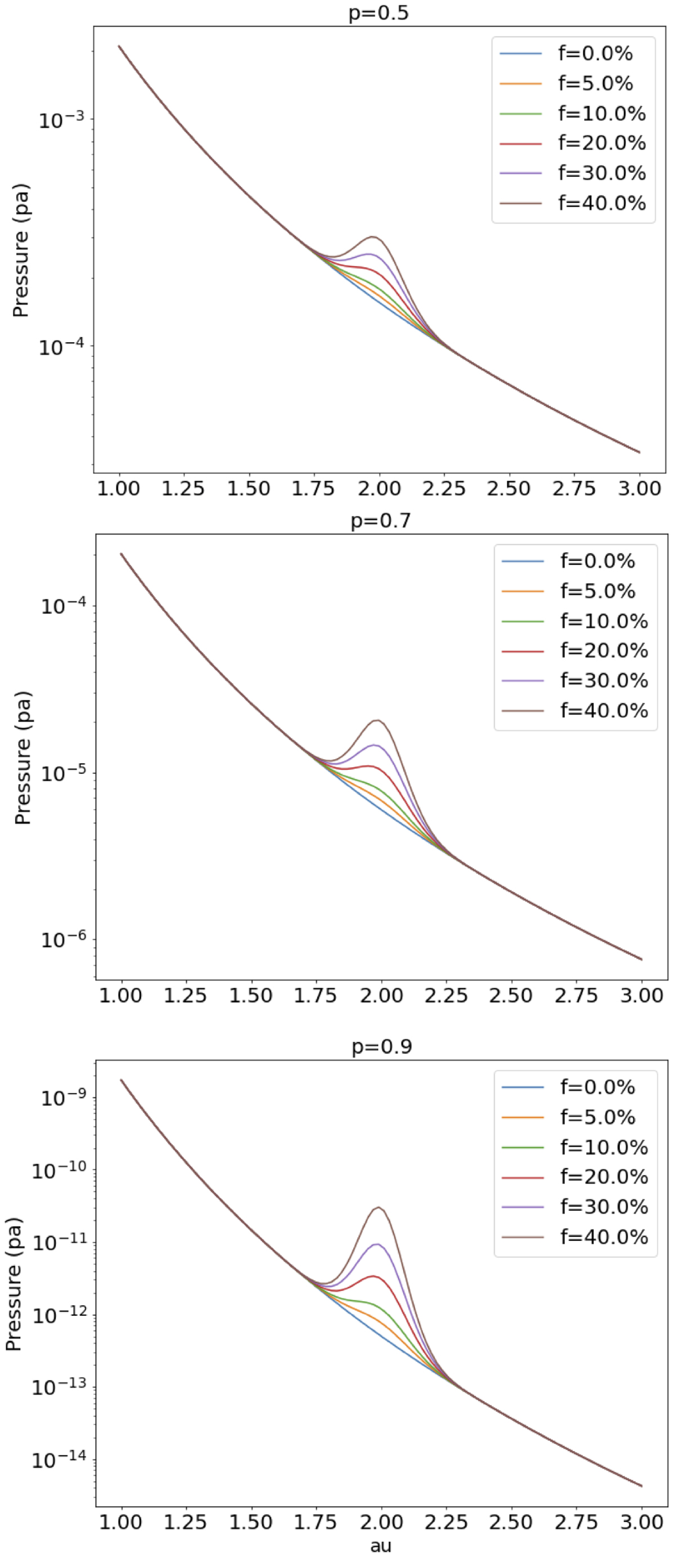
Fig. 2

Pressure vs. distance in disks at steady states with different water-vapor mass fraction (f) enhancement at the snow-line (located at 3 au here). Here, Ṁ = 10−9M⊙ yr−1 and p = 0.1 (top), p= 0.5 (middle), and p = 0.9 (bottom). The width of the water-vapor-rich region is arbitrarily set to 0.1 au (numerically and analytically derived in Hyodo et al. 2021a). For the same mass fraction of water vapor, the pressure bump amplitude increases for larger p.
Current usage metrics show cumulative count of Article Views (full-text article views including HTML views, PDF and ePub downloads, according to the available data) and Abstracts Views on Vision4Press platform.
Data correspond to usage on the plateform after 2015. The current usage metrics is available 48-96 hours after online publication and is updated daily on week days.
Initial download of the metrics may take a while.