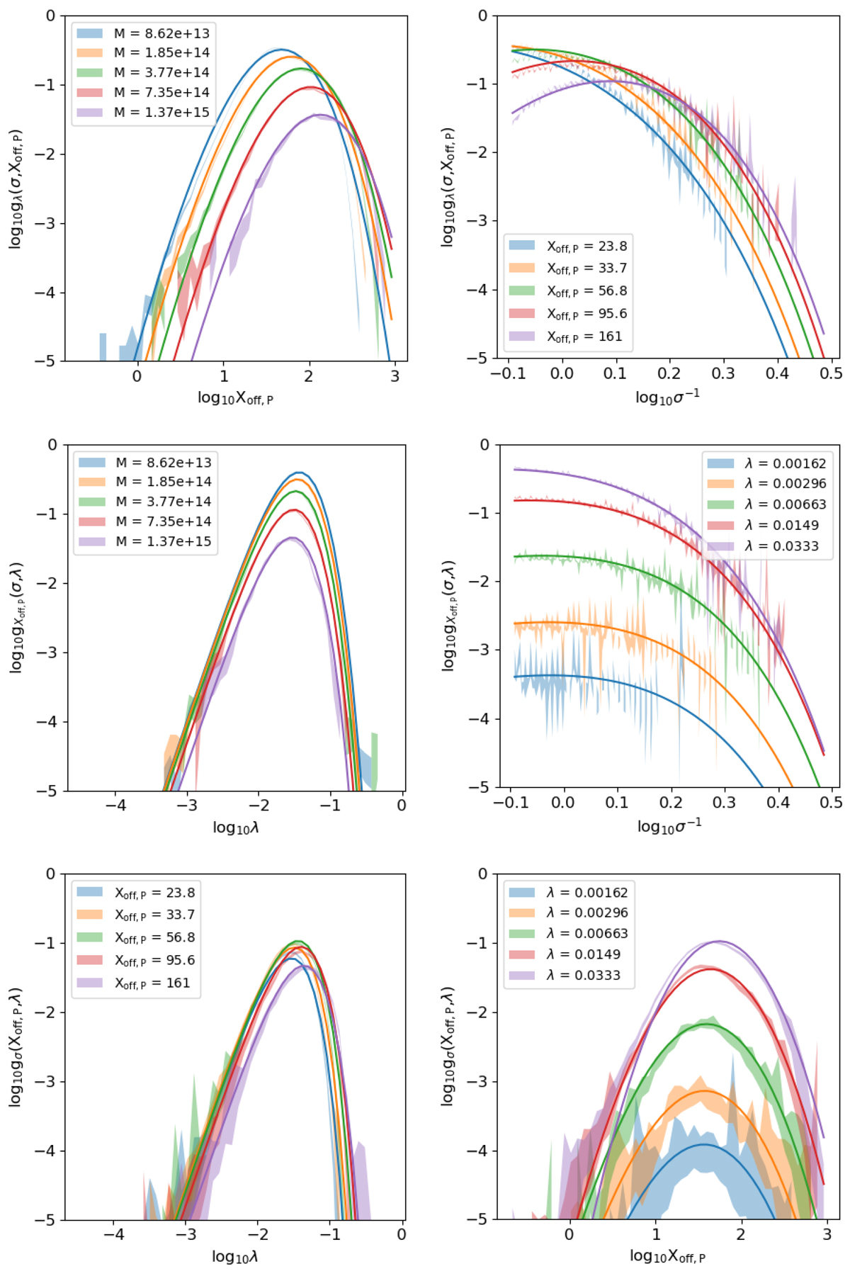
Fig. B.3.

Download original image
Single integration of the 3D model. In each panel straight lines indicate the best-fit model, while shaded areas represent the data with 1σ uncertainties. Top left panel: gλ(σ, Xoff, P) as a function of Xoff, P in different mass slices. Top right panel: gλ(σ, Xoff, P) as a function of σ in different Xoff, P slices. Middle left panel: gXoff, P(σ, λ) as a function of λ in different mass slices. Middle right panel: gXoff, P(σ, λ) as a function of σ in different λ slices. Bottom left panel: gσ(Xoff, P, λ) as a function of λ in different Xoff, P slices. Bottom right panel: gσ(Xoff, P, λ) as a function of Xoff, P in different λ slices.
Current usage metrics show cumulative count of Article Views (full-text article views including HTML views, PDF and ePub downloads, according to the available data) and Abstracts Views on Vision4Press platform.
Data correspond to usage on the plateform after 2015. The current usage metrics is available 48-96 hours after online publication and is updated daily on week days.
Initial download of the metrics may take a while.