Fig. 5.

Download original image
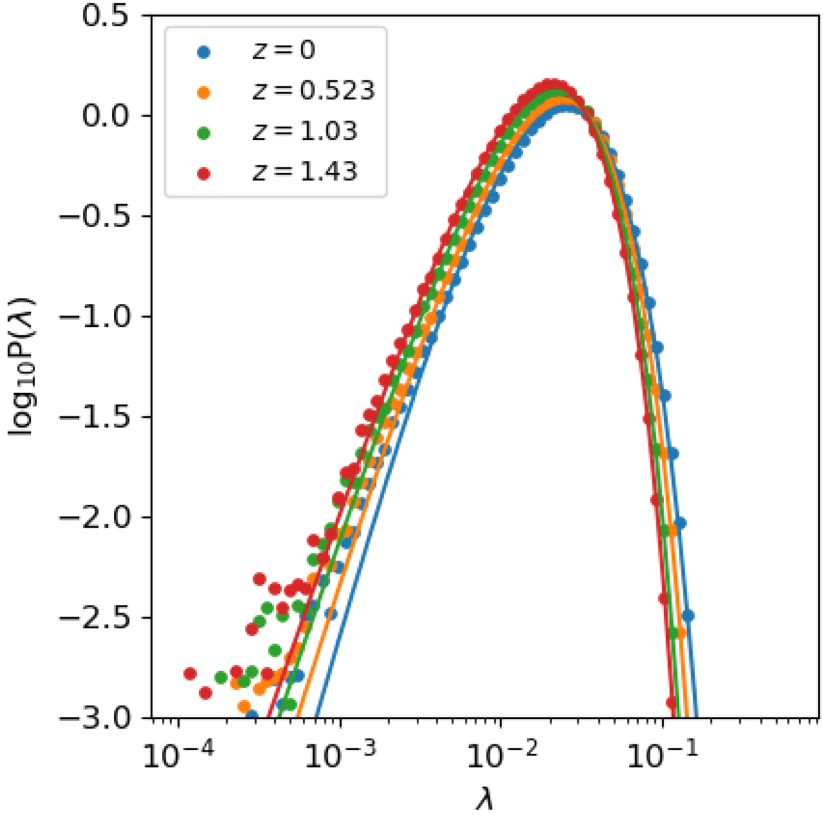
PDF of λ (Eq. (12)). Individual points represent spin bins used to compute the distribution; straight lines refer to the best-fit modified Schechter model. They are color-coded by redshift. We do not consider mass dependence in this relation. Each redshift slice is fitted independently. The best-fit parameters are given in Table A.2.
Current usage metrics show cumulative count of Article Views (full-text article views including HTML views, PDF and ePub downloads, according to the available data) and Abstracts Views on Vision4Press platform.
Data correspond to usage on the plateform after 2015. The current usage metrics is available 48-96 hours after online publication and is updated daily on week days.
Initial download of the metrics may take a while.