Free Access
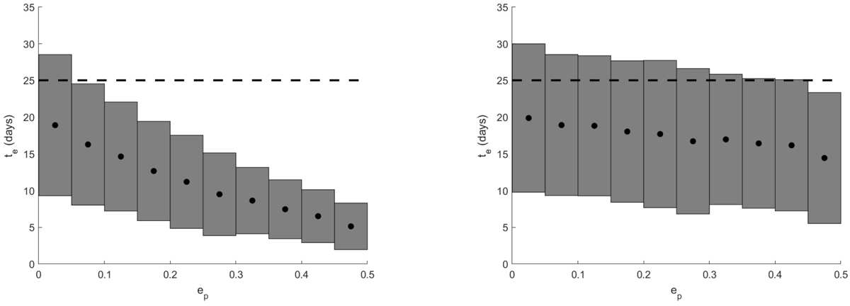
Fig. 7

Download original image
Time span of the duration of the eclipses for a prograde ring grouped according to the eccentricity of the planet (ep). Panel on the left: the eclipse is occurring at the pericenter. Right: the eclipse is occurring during the planet passage at the apocenter. The dashed line represents the observable eclipse (25 days).
Current usage metrics show cumulative count of Article Views (full-text article views including HTML views, PDF and ePub downloads, according to the available data) and Abstracts Views on Vision4Press platform.
Data correspond to usage on the plateform after 2015. The current usage metrics is available 48-96 hours after online publication and is updated daily on week days.
Initial download of the metrics may take a while.