Free Access
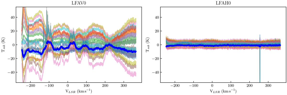
Fig. A.2

Calibrated residual between different OFF measurements taken over a flight leg. This is used to generate a catalog of baseline shapes. Note the large residuals for the LFAV0 pixel (left panel) compared to the more stable LFAH0 pixel (right panel).
Current usage metrics show cumulative count of Article Views (full-text article views including HTML views, PDF and ePub downloads, according to the available data) and Abstracts Views on Vision4Press platform.
Data correspond to usage on the plateform after 2015. The current usage metrics is available 48-96 hours after online publication and is updated daily on week days.
Initial download of the metrics may take a while.