Free Access

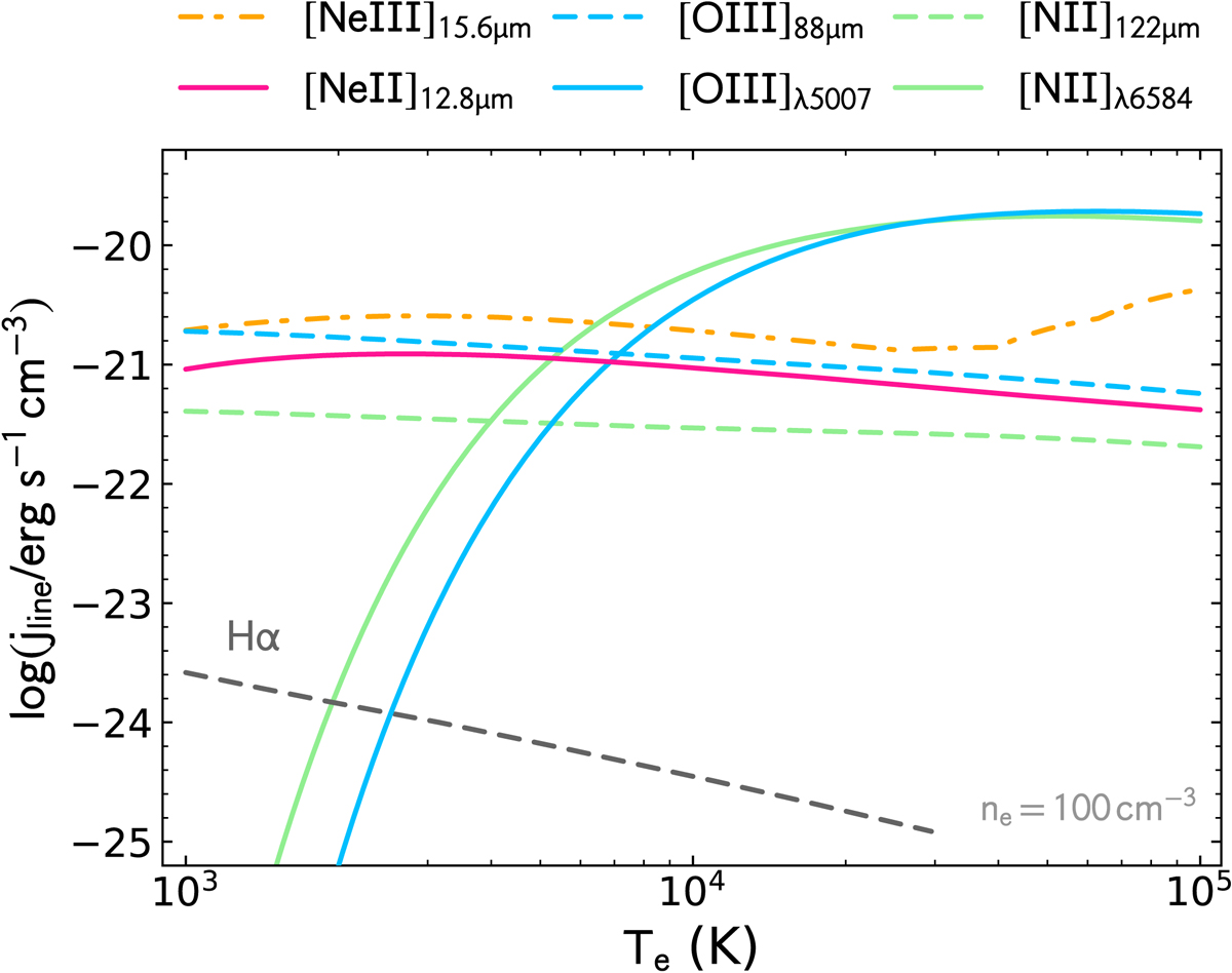
Fig. 1.

image

Emissivity (jline) of the fine-structure lines in the optical range (solid blue line: [O III] λ5007; solid green: [N II] λ6584) is a strong function of the electron temperature Te in the 2000–30 000 K range, in contrast to the IR lines (solid pink: [Ne II]12.8 μm; dot-dashed orange: [Ne III]15.6 μm; dashed blue: [O III]88 μm; dashed green: [N II]122 μm). The emissivities are computed using PYNEB (Luridiana et al. 2015) for a fixed ne = 100 cm−3. For comparison, the emissivity of the Hα recombination line is also shown (dashed black line).

Current usage metrics show cumulative count of Article Views (full-text article views including HTML views, PDF and ePub downloads, according to the available data) and Abstracts Views on Vision4Press platform.

Data correspond to usage on the plateform after 2015. The current usage metrics is available 48-96 hours after online publication and is updated daily on week days.

Initial download of the metrics may take a while.