Free Access

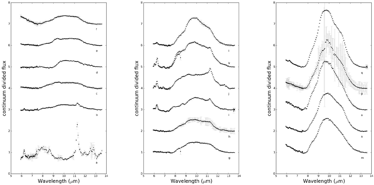
Fig. 6

image

Continuum-divided normalized peak strength over the 10 μm feature for those sources classified as Group II. The continuum between 7.5 and 13.5 μm has been normalized to 1. Only (a) V2149 Ori does not have a detectable silicate feature. The other sources then follow in ascendingorder of peak strength: (b) HD 294260, (c) CO Ori, (d) PR Ori, (e) HD 35929, (f) DI Cha, (g) BE Ori, (h) HT Lup, (i) HD 142666, (j) GX Ori, (k) HBC 442 (l) V1650 Ori, (m) CR Cha, (n) CV Cha, (o) RY Ori, (p) RY Tau, and (q) HD 144432.The scale is indicated in the leftmost panel and is the same for all sources. Spectra are shifted to allow comparison.

Current usage metrics show cumulative count of Article Views (full-text article views including HTML views, PDF and ePub downloads, according to the available data) and Abstracts Views on Vision4Press platform.

Data correspond to usage on the plateform after 2015. The current usage metrics is available 48-96 hours after online publication and is updated daily on week days.

Initial download of the metrics may take a while.